Предмет: Математика,
автор: Катюха57
помогите пожалуйста дополнительную часть решить
Приложения:
Ответы
Автор ответа:
0
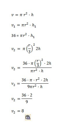
19, 20 задания только решила
Приложения:
Похожие вопросы
Предмет: Русский язык,
автор: School351
Предмет: Русский язык,
автор: vadimkyznecov
Предмет: Русский язык,
автор: ze240946
Предмет: Информатика,
автор: guknastyaguk