Предмет: Математика,
автор: ysyeyehehe
Помогите срочно с неравенством завтра экзамен.
Приложения:
Ответы
Автор ответа:
0
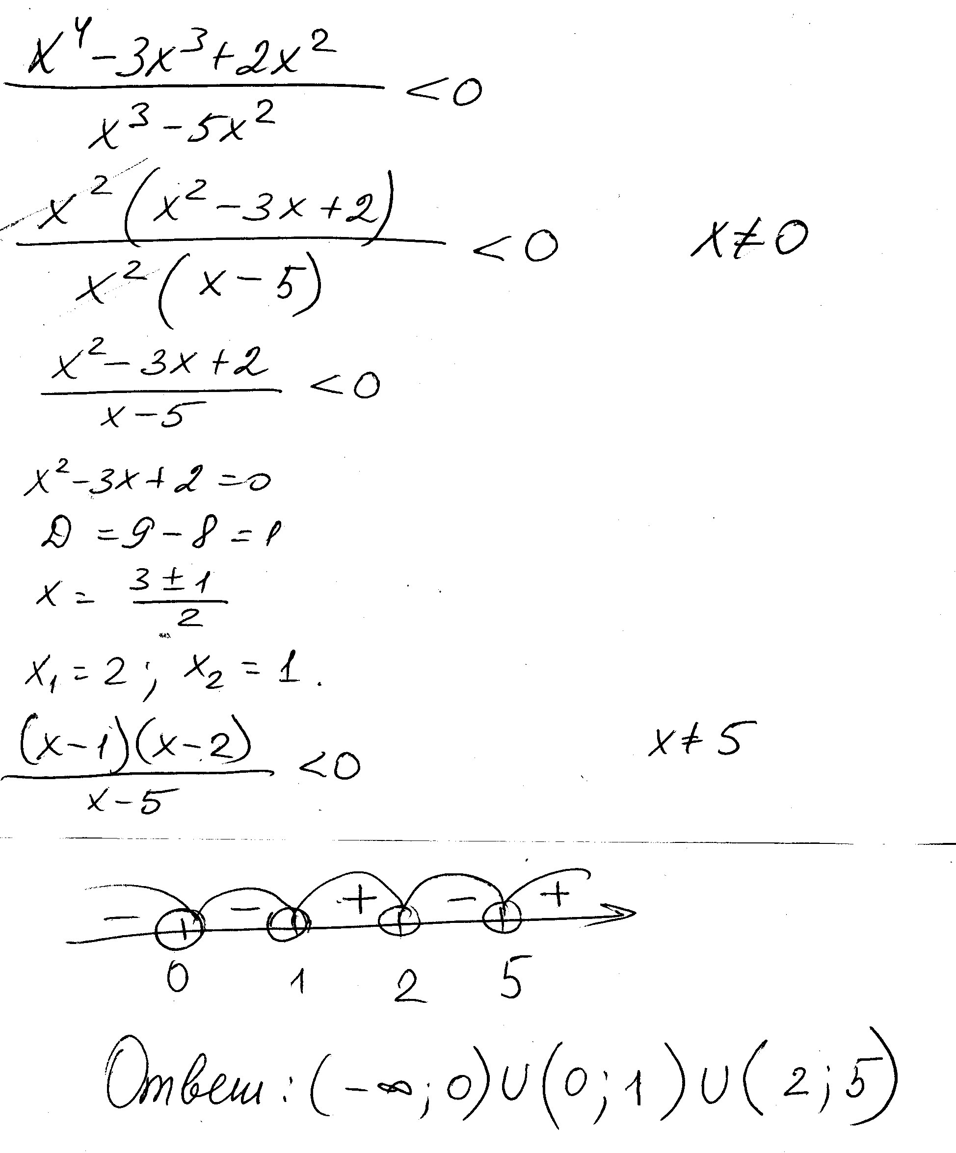
решение во вложенном файле
Приложения:
Автор ответа:
0
Спасибо за помощь))
Похожие вопросы
Предмет: Немецкий язык,
автор: kozdizprd23965
Предмет: Физика,
автор: ii3479375
Предмет: Литература,
автор: abyshvabermet
Предмет: Математика,
автор: rafoela