Предмет: Алгебра,
автор: pulod3331
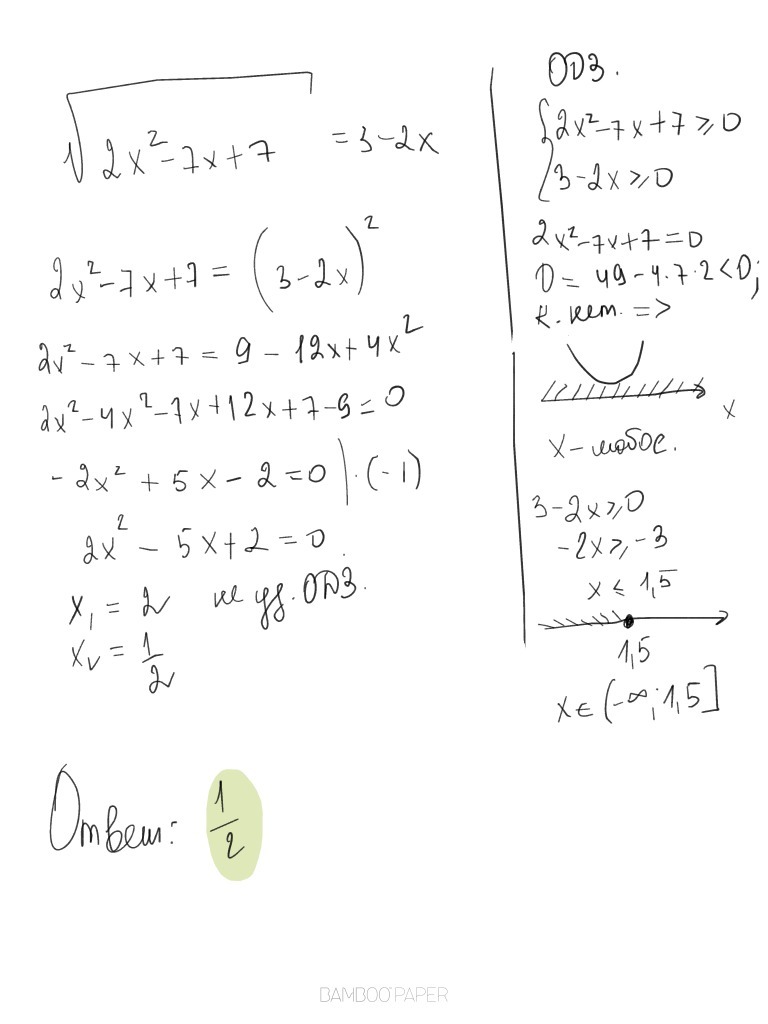
sqrt{ 2 x^{2} - 7 x + 7 } = 3 - 2 x
Ответы
Автор ответа:
0
Решение данного задания
Приложения:
Похожие вопросы
Предмет: Химия,
автор: dacha210380
Предмет: Биология,
автор: dinarmilly
Предмет: Математика,
автор: ap6148806
Предмет: Химия,
автор: Аноним
Предмет: Математика,
автор: etzhovrebova