Предмет: Математика,
автор: Аноним
баллами не обижу,решить надо сейчас ,все эти три задания
Приложения:
Ответы
Автор ответа:
0
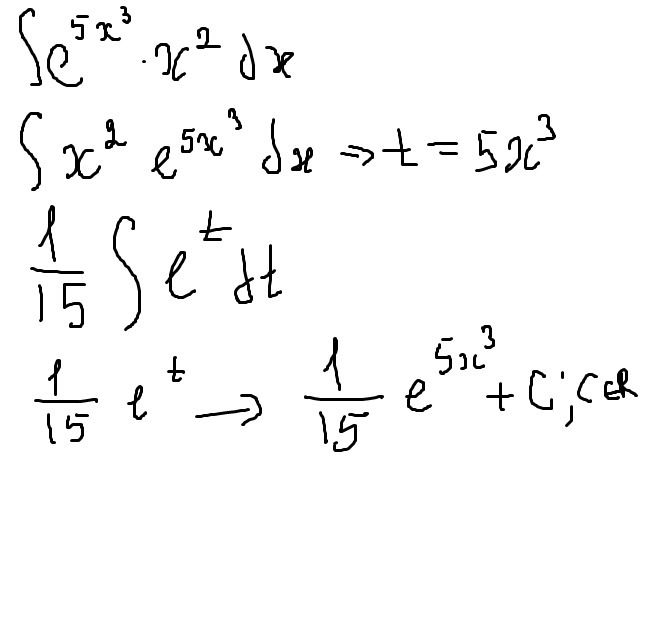
Я тебе смогу помочь только первое
Приложения:
Автор ответа:
0
или 3 :)))))))))))))
Похожие вопросы
Предмет: Қазақ тiлi,
автор: aktilekadilbekova
Предмет: География,
автор: kulikbogdan634
Предмет: Алгебра,
автор: serdukaleksandr53223
Предмет: Математика,
автор: Аноним
Предмет: Алгебра,
автор: evgeniri