Предмет: Математика,
автор: Hunter068
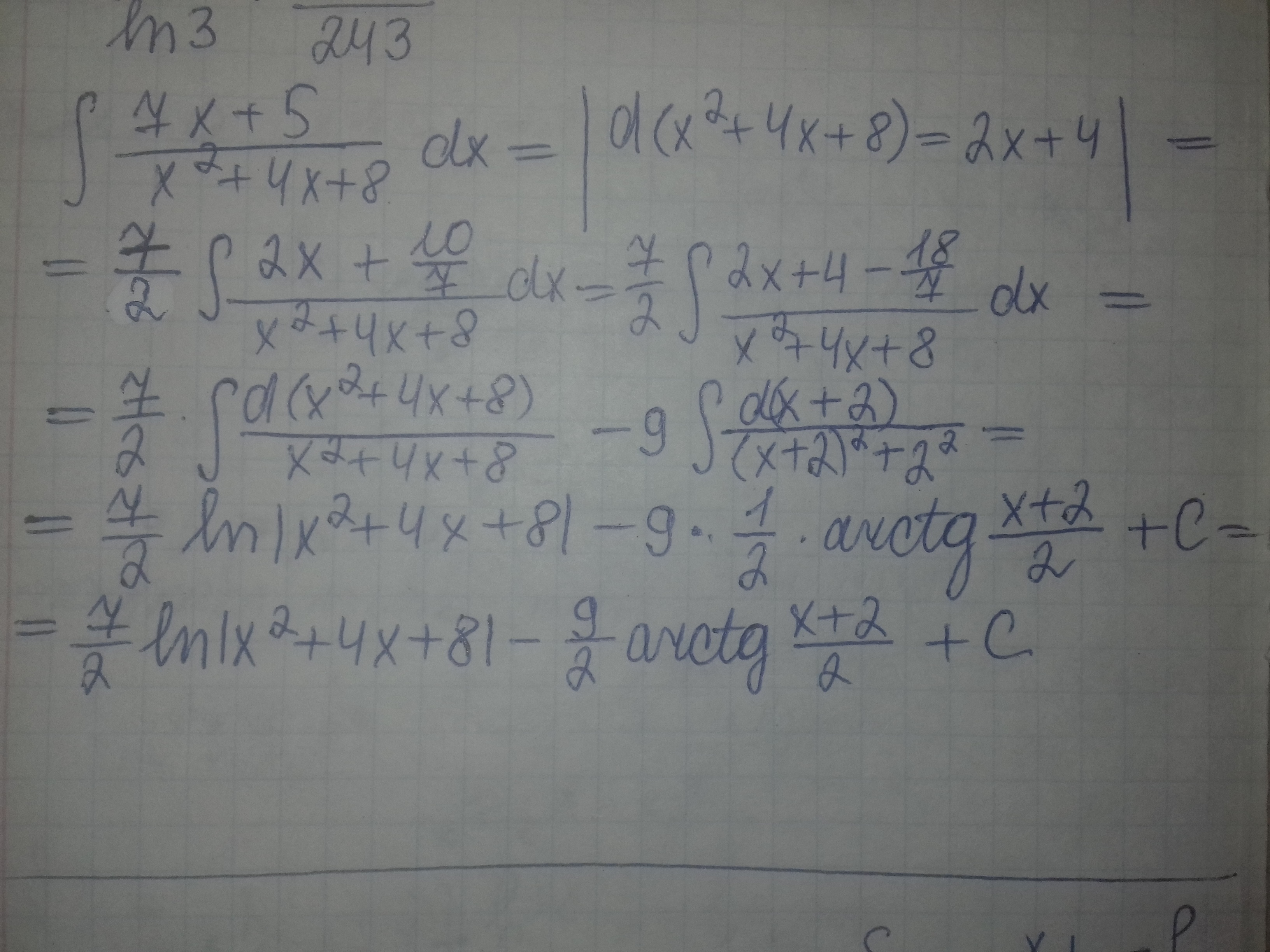
Найти неопределённый интеграл
Приложения:
Ответы
Автор ответа:
0
Расписала очень подробно
Приложения:
Автор ответа:
0
ты золото :3
Похожие вопросы
Предмет: Математика,
автор: koptevaa165
Предмет: Немецкий язык,
автор: kozdizprd23965
Предмет: Алгебра,
автор: sagirbaevasaltanat8
Предмет: Геометрия,
автор: smolinalidia