Предмет: Алгебра,
автор: знаток12345
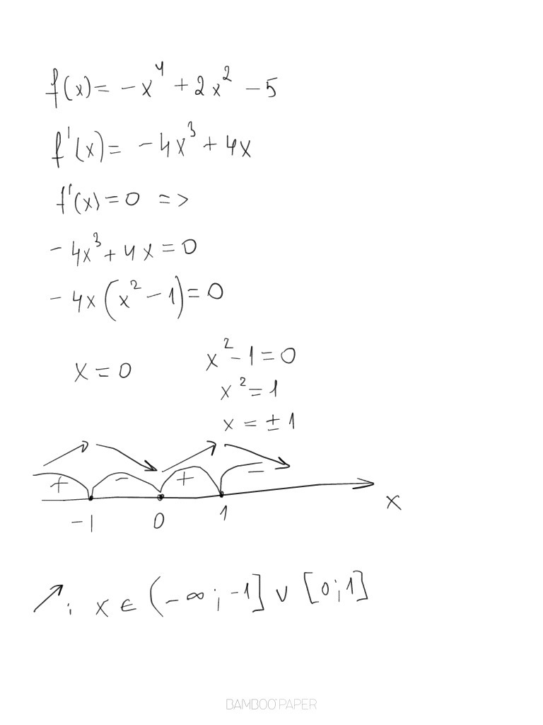
найдите промежутки возрастания функции f(x)=-x^4+2x^2-5
Ответы
Автор ответа:
0
Решение данного задания
Приложения:
Похожие вопросы
Предмет: Математика,
автор: vikaushkalova85
Предмет: Геометрия,
автор: nmungantugs
Предмет: История,
автор: aidanaaidar1609
Предмет: Математика,
автор: larisa1405
Предмет: Геометрия,
автор: Яяяяяяй