Предмет: Физика,
автор: Mognolia
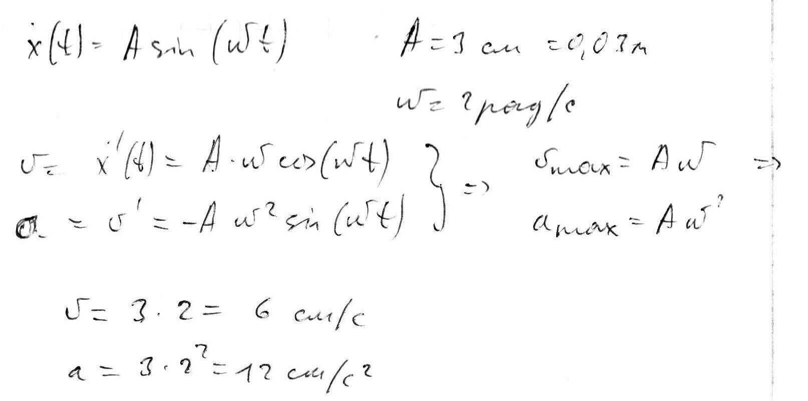
Материальная точка совершает колебания по закону x(t)=A⋅sin(ω⋅t), где A=3 см амплитуда колебаний, ω=2 рад/с циклическая частота колебаний.
Чему равна максимальная скорость материальной точки? Ответ выразить в см/с, округлив до целых.
Чему равно максимальное ускорение материальной точки? Ответ выразить в см/с2, округлив до целых.
Ответы
Автор ответа:
0
Держи ответ в файле!
Приложения:
Похожие вопросы
Предмет: Русский язык,
автор: holmatovamadina6
Предмет: Математика,
автор: dilyaradana888
Предмет: Физика,
автор: dasha513967
Предмет: Математика,
автор: Dilnaz18030
Предмет: Биология,
автор: Пандаочка