Предмет: Алгебра,
автор: innakulieva
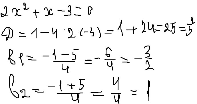
найти корни квадратного уравнения 2x в квадрате + x-3=0
Ответы
Автор ответа:
0
Ответ + решение внизу
Приложения:
Похожие вопросы
Предмет: Қазақ тiлi,
автор: ElenaDemon
Предмет: Математика,
автор: lera776040
Предмет: Кыргыз тили,
автор: aishuko51
Предмет: Алгебра,
автор: ЛЕКАЯ1
Предмет: Химия,
автор: arinaketo2012