Предмет: Алгебра,
автор: holsey
Выполните действия:
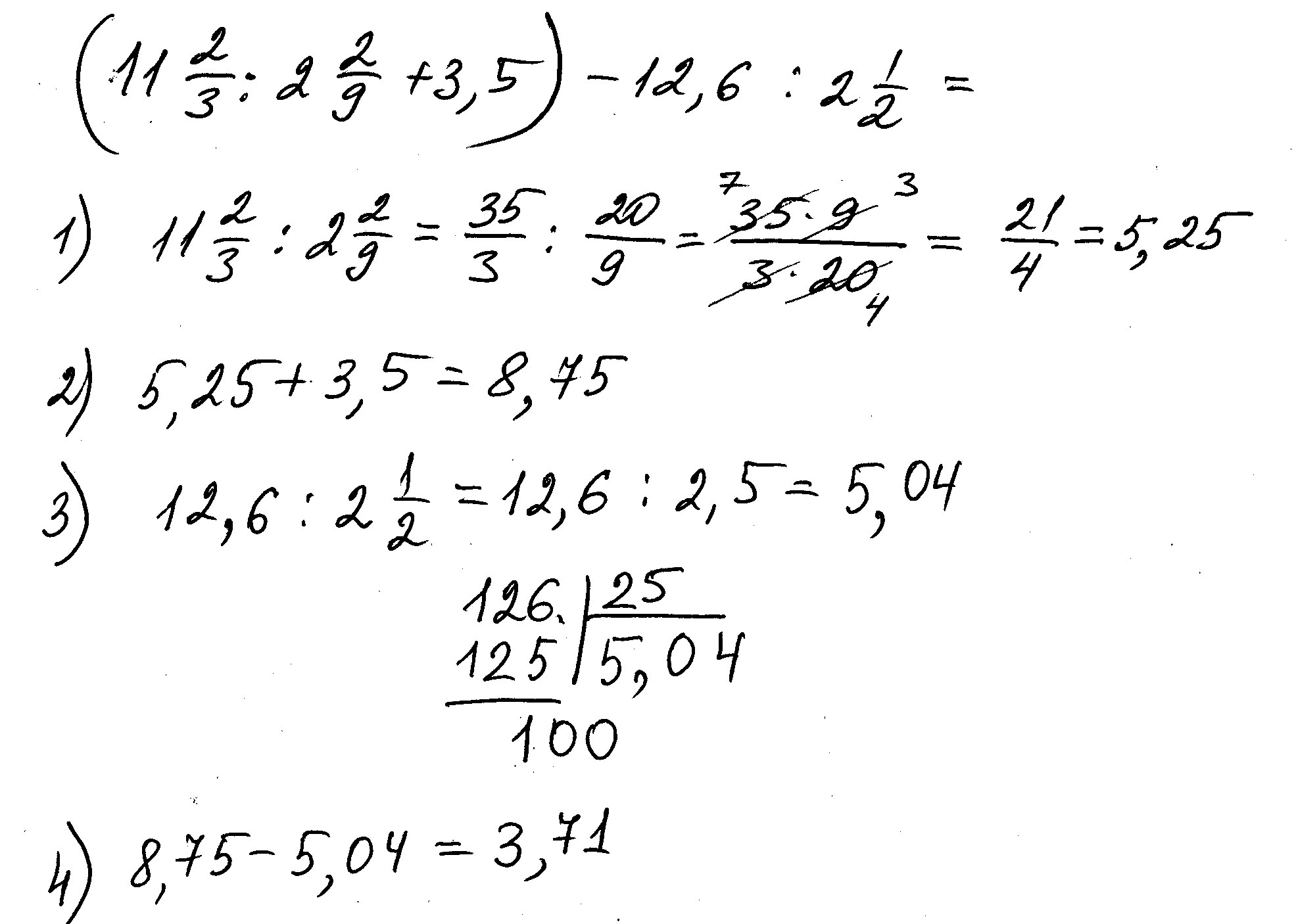
(11 2/3 : 2 2/9 + 3,5) - 12,6 : 2 1/2
Ответы
Автор ответа:
0
решение во вложенном файле
Приложения:
Похожие вопросы
Предмет: Другие предметы,
автор: kunanbajajdana44
Предмет: Алгебра,
автор: aAlena43
Предмет: Биология,
автор: natkasl8292
Предмет: Физика,
автор: gerl777