Предмет: Математика,
автор: ааа342
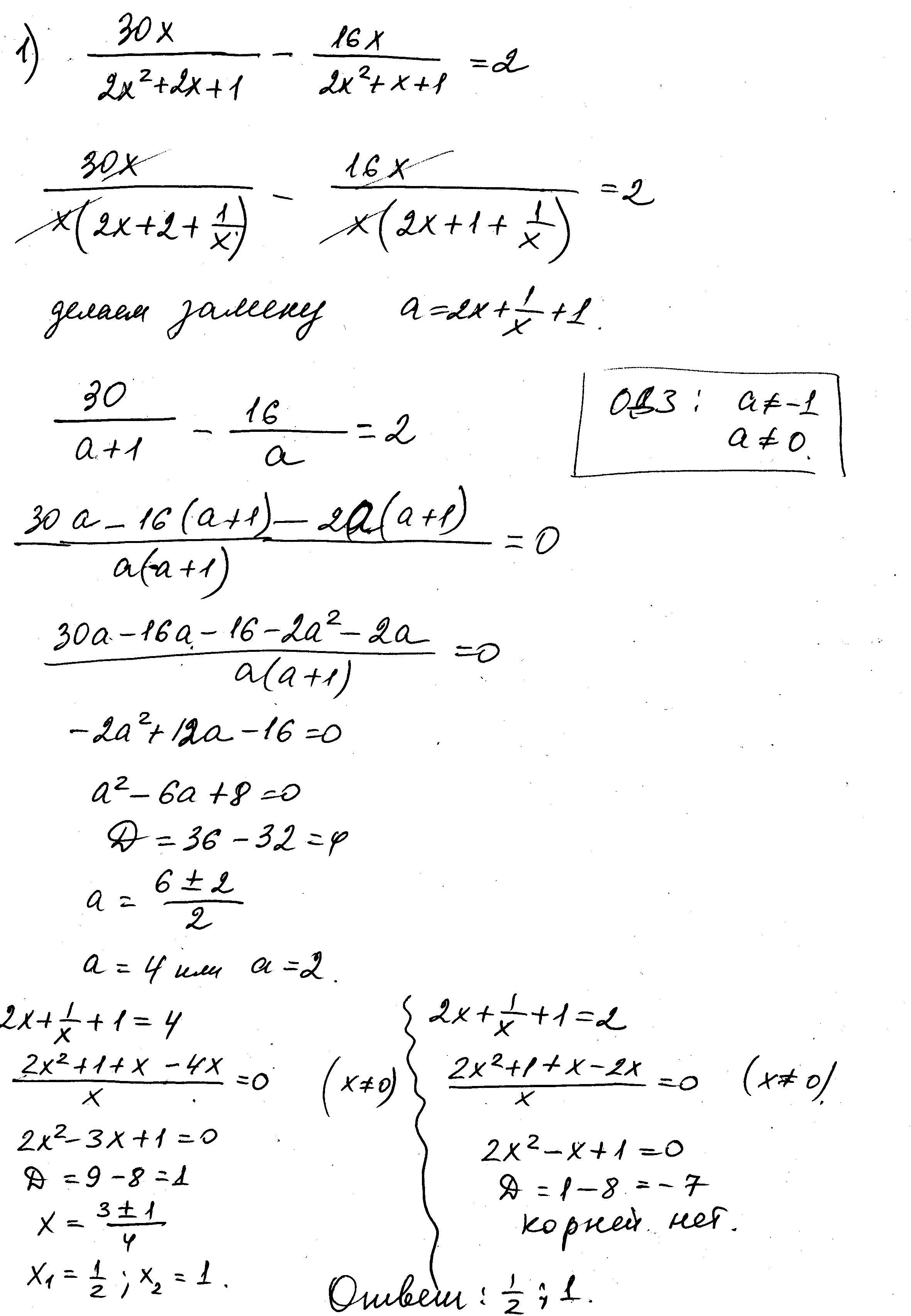
решение через введения новой переменной
Приложения:
Ответы
Автор ответа:
0
решение во вложенном файле
Приложения:
Похожие вопросы
Предмет: Алгебра,
автор: egorsan08
Предмет: Информатика,
автор: topmaks995
Предмет: Алгебра,
автор: sofaevkurofa53
Предмет: Математика,
автор: ЮиКун