Предмет: Алгебра,
автор: leraloyko02
помогите пожалуйста!!!
Приложения:
Ответы
Автор ответа:
0
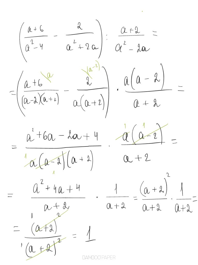
Решение данного задания
Приложения:
Похожие вопросы
Предмет: Қазақ тiлi,
автор: Аноним
Предмет: Другие предметы,
автор: kuzykandriy58
Предмет: Русский язык,
автор: rannevamilana
Предмет: Биология,
автор: verunyaegorova