Предмет: Математика,
автор: jdjdjdjdjjd
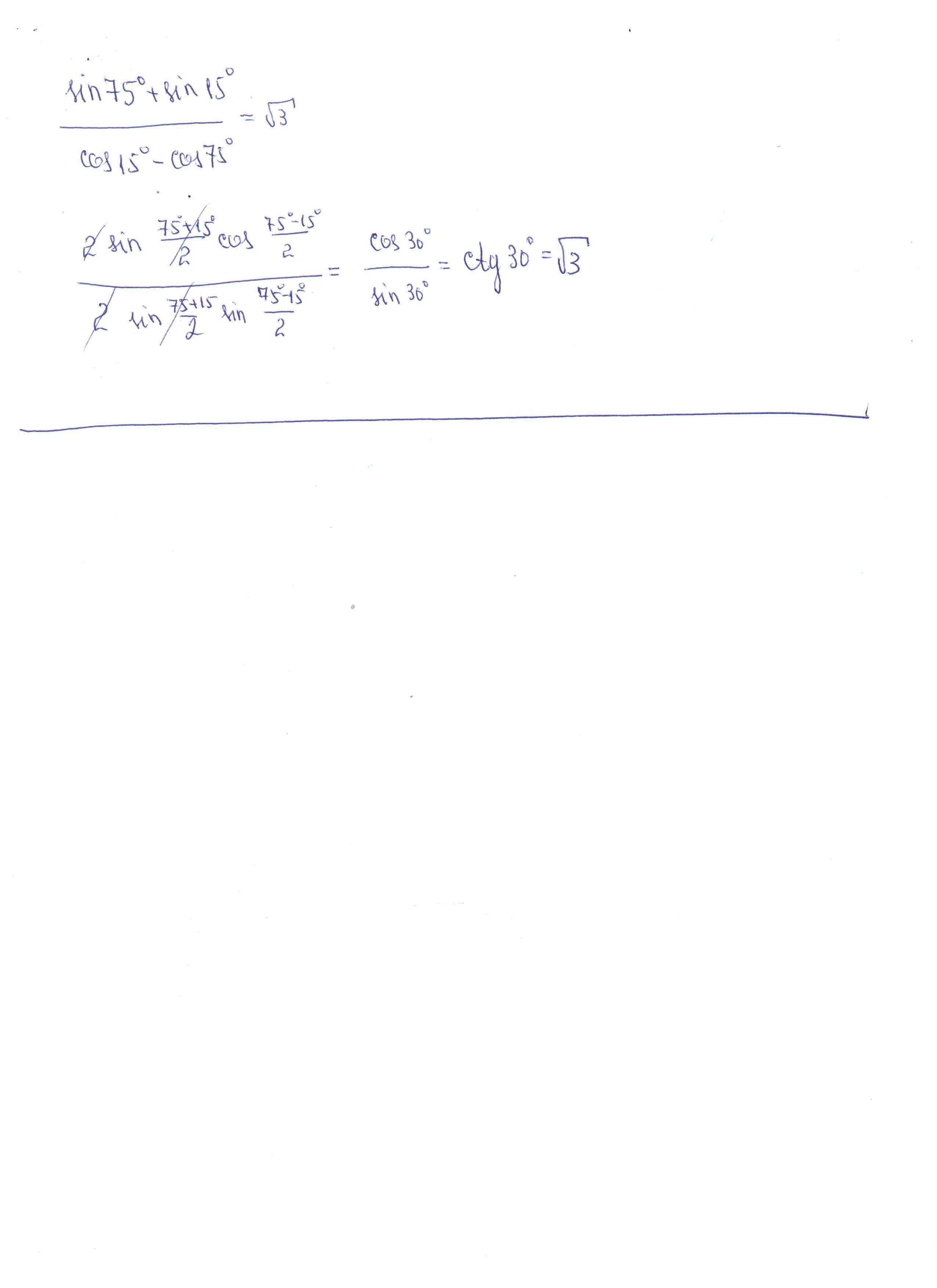
Докажите тождество пожалуйста
Приложения:
Ответы
Автор ответа:
0
Доказательство тождества
Приложения:
Похожие вопросы
Предмет: Английский язык,
автор: lasissj1
Предмет: Математика,
автор: cokopajka02
Предмет: Математика,
автор: nikashvets666
Предмет: География,
автор: aigerimsisengalieva
Предмет: География,
автор: 12345299