Предмет: Математика,
автор: pomogite12362
Помогите пожалуйста..
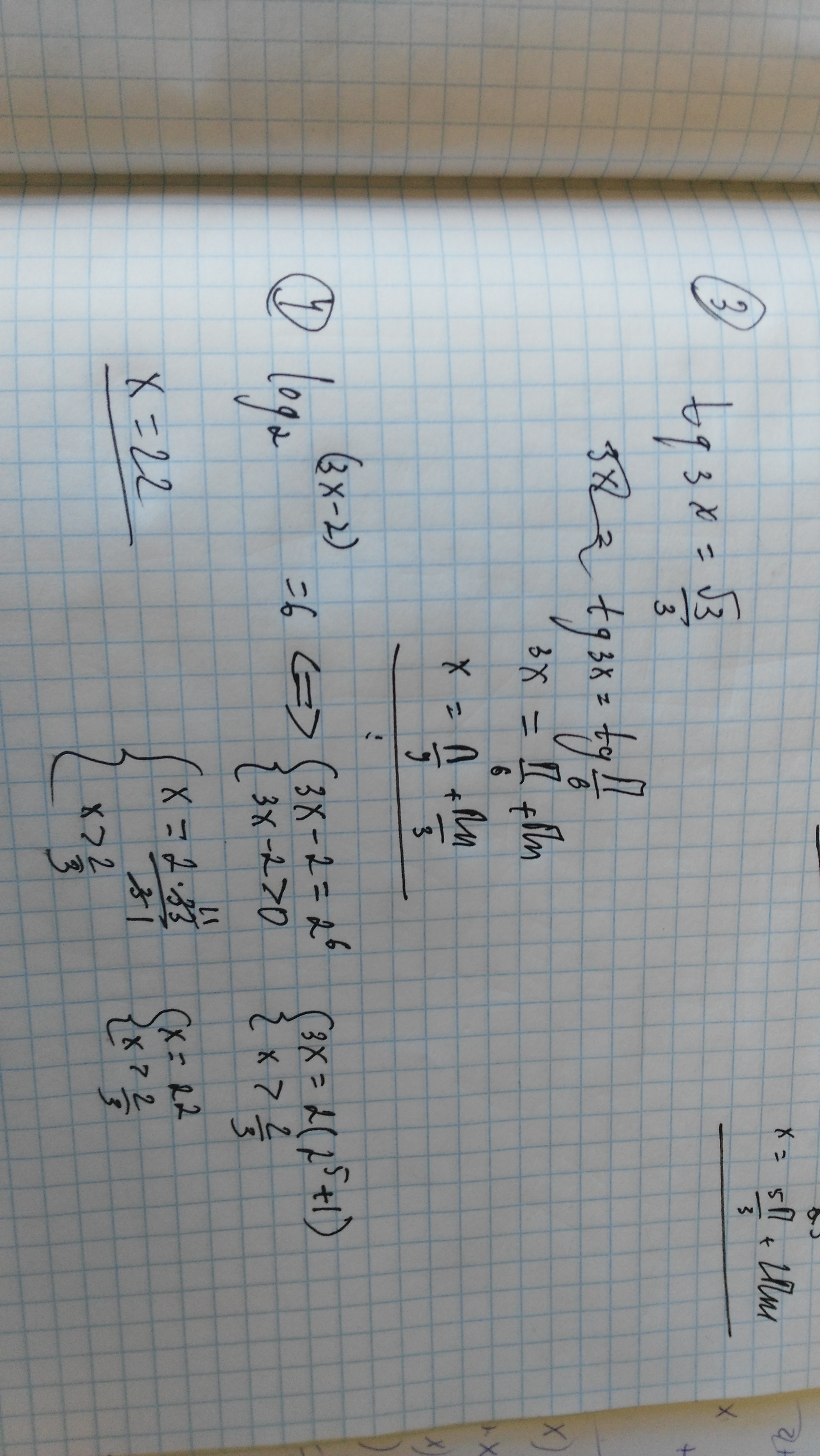
Решить уравнения и неравенства
2cos3x=-1
2sin x/2 +1=0
tg 3x=√3/3 (корень из 3 делить на 3)
Log2(3x-2)=6 ( где лог2 ,2 снизу маленькая)
Ответы
Автор ответа:
0
Ответы подчеркнуты. По сути ничего сложного, в тригонометрии у синуса и косинуса имеется по два угла на одно значение. У тангенса угол лишь один и угол поворота половинчатый(Пn)
Приложения:
Похожие вопросы
Предмет: Алгебра,
автор: alexnemtyrev2
Предмет: Математика,
автор: zhumabayeva1a
Предмет: Қазақ тiлi,
автор: abdrahmanovrajmbek
Предмет: Физика,
автор: Zavalishina5
Предмет: Математика,
автор: Аноним