Предмет: Алгебра,
автор: outsider328
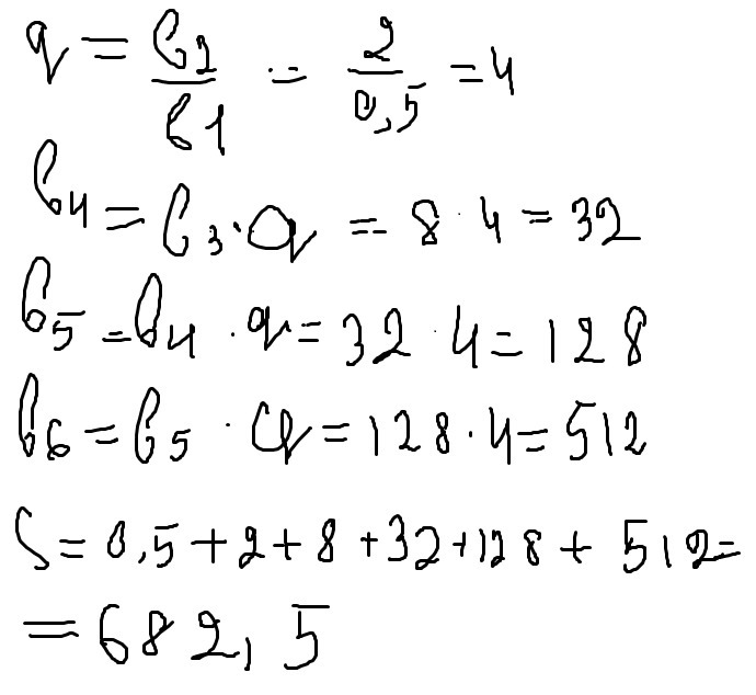
Найдите сумму первых шести членов геометрической прогрессии:
0.5; 2; 8; ...
Ответы
Автор ответа:
1
(bn) - геометрическая прогрессия
b1 = 0,5
b2 = 2
b3 = 8
q = b3/b2 = b2/b1 = 8/2 = 4
S6 = (b6*q - b1)/q-1 = (0,5*4^6 - 0,5)/(4 - 1) = 682,5
Ответ: S6 = 682,5
b1 = 0,5
b2 = 2
b3 = 8
q = b3/b2 = b2/b1 = 8/2 = 4
S6 = (b6*q - b1)/q-1 = (0,5*4^6 - 0,5)/(4 - 1) = 682,5
Ответ: S6 = 682,5
Автор ответа:
1
Решение + ответ :)))))))))))))))))))
Приложения:
Похожие вопросы
Предмет: Математика,
автор: mirik4336
Предмет: Алгебра,
автор: gpygq8i8es
Предмет: История,
автор: aruZh000n
Предмет: Английский язык,
автор: kostrovaanna98