Предмет: Алгебра,
автор: dmitrija7531
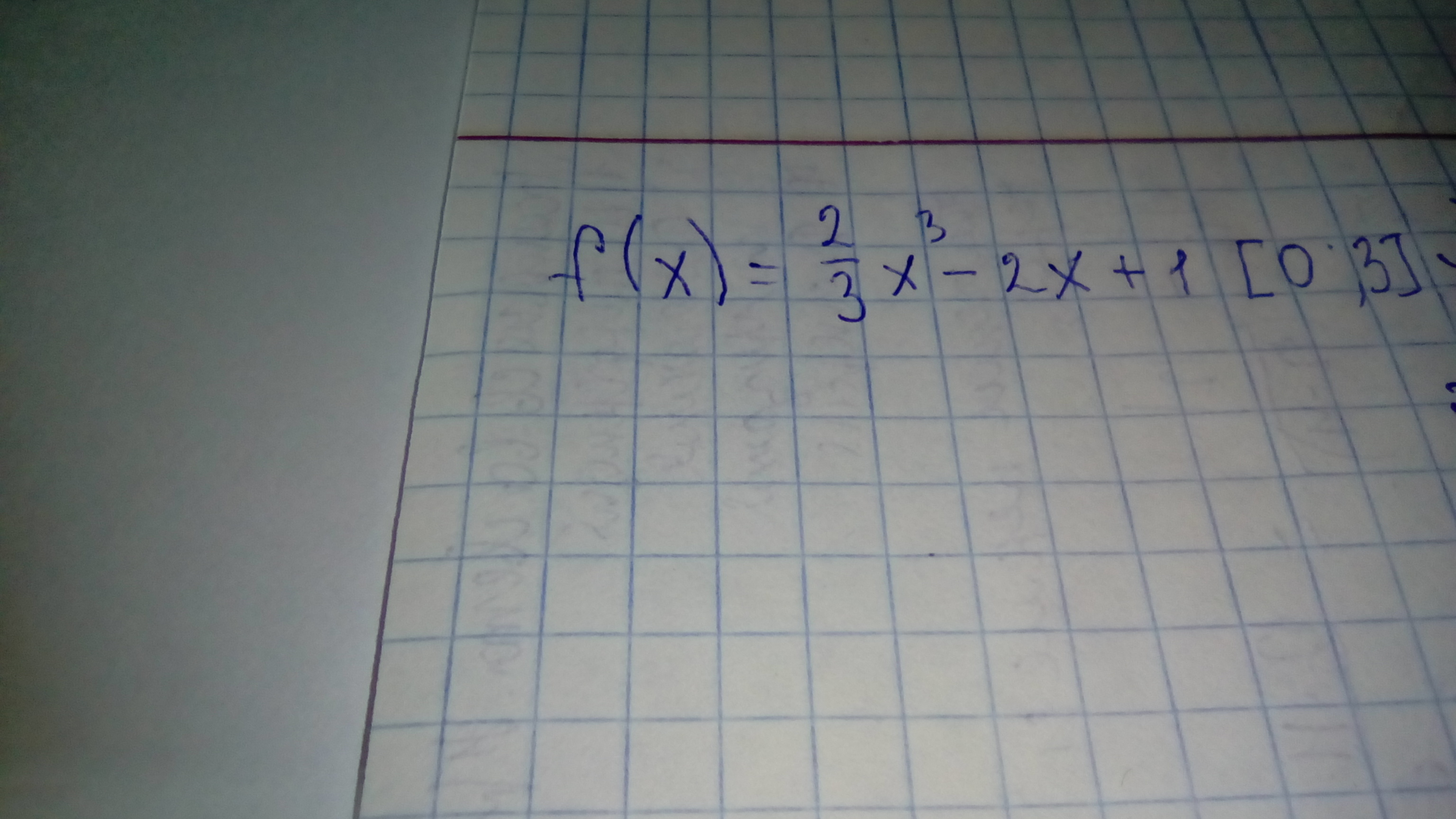
Найти наибольшее значение функции
Приложения:
Ответы
Автор ответа:
1
13 -наибольшее
-0.5 - наименьшее
-0.5 - наименьшее
Приложения:
Похожие вопросы
Предмет: Українська література,
автор: Аноним
Предмет: Геометрия,
автор: dzhuzey
Предмет: Биология,
автор: d938999
Предмет: Математика,
автор: Аноним
Предмет: Алгебра,
автор: iirrrrrr3