Предмет: Алгебра, автор: PokerGirl

упростите выражение ,найдите его значение. СРОЧНО

Приложения:

Ответы

Автор ответа: Аноним
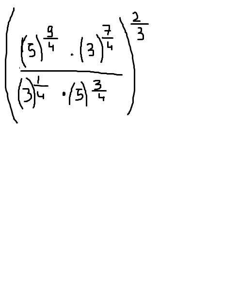
1
5^(9/4-3/4)*3^(7/4-1/4)=5^(3/2)*3^(3/2)=15^(3/2)
(15^3/2)^2/3=15^(3/2*2/3)=15^1=15.
Похожие вопросы
Предмет: Русский язык, автор: aminicka
Предмет: Другие предметы, автор: sgffjw
Стиль рококо

1. У якому столітті та в якій країні сформувався художній стиль рококо?

а) XVII ст. у Англії б) XVIIІ ст. у Англії

в) XVII ст. у Франції г) XVIІI ст. у Франції

2. Метою стилю рококо є .....

а) розважати і викликати приємні емоції б) ствердження краси і гідності людини

в) гармонійність та урівноваженість у всьому г) прагнення до свободи

3. Живописцем французького рококо є

а) Антуан Ватто. б) Поль Сезанн

в) Шарль Лебрён г) Альбрехт Дюрер

4. Що переважно зображувалося на картинах стилю рококо?

а) важка праця людей б) відпочинок аристократів на природі

в) рослинні орнаменти г) штучні краєвиди, призначені для побачень,

танців, дозвілля

5. Архітектурі Рококо притаманні

а) стіни без прикрас, асимтричність форм б) декоративні елементи у формі мушлі

в) товсті стіни, високі мури г) перевага яскравих кольорів

6. "Рококо" , в перекладі, означає

а) перлина неправильної форми б) декоративна мушля

в) ламана лінія г) ажурна роза

7. Вкажіть теми творів живопису в стилі рококо

а) історичні б) батальні

в) анімалістичні г) свята й театральні вистави, міфологічні персонажі

8. Вкажіть композиторів, що створювали музику в стилі рококо

а) Георг Фрідріх Гендель, Йоганн Себастьян

Бах, Арканджело Кореллі, Антоніо Вівальді

б) Орландо Лассо, Валентин Скорик

в) Франсуа Куперен, Жан-Філіпп Рамо, Вільям

Берд, Генрі Парселл

г) Джованні Палестріна, Джуліо Каччіні

9. Хто із цих скульпторів не був представником рококо?

а) Лоренцо Берніні б) Клодіон (Клод Мішель)

в) Жан-Батист Пігаль г) Жан Антуан Гудон

д) Етьєн Моріс Фальконе е) Мікеланджело Буонарроті

10. Вкажіть теми творів живопису в стилі рококо

а) історичні б) батальні

в) анімалістичні г) Пейзаж

д) Портрети