Предмет: Математика,
автор: wha4le
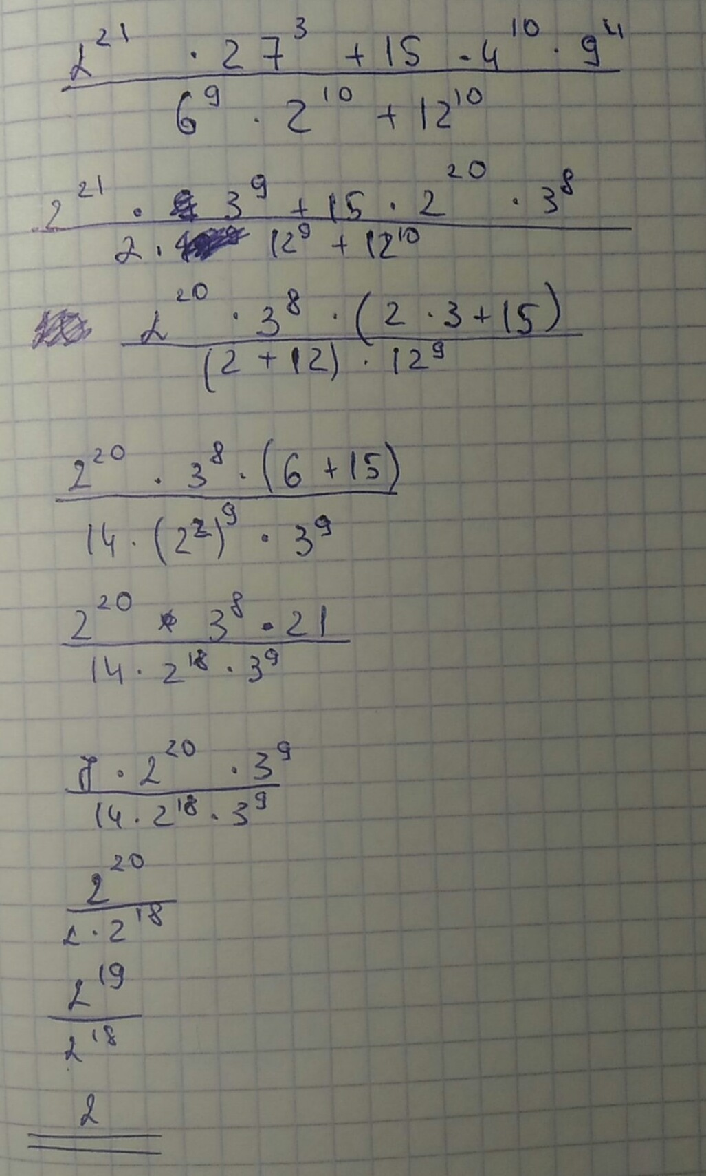
Помогите решить пример ! 7 класс алгебра
Приложения:
Ответы
Автор ответа:
0
скорее всего где-то так
Приложения:
Похожие вопросы
Предмет: История,
автор: nadezzzdaradchenko19
Предмет: Русский язык,
автор: dashaten1974
Предмет: Математика,
автор: dgoncaruk254
Предмет: Русский язык,
автор: lakagamexxl226