Предмет: Алгебра, автор: darya070704

Задача, помогите, пожалуйста!

Приложения:

Ответы

Автор ответа: valshev
1
Держи видповидь у файли!
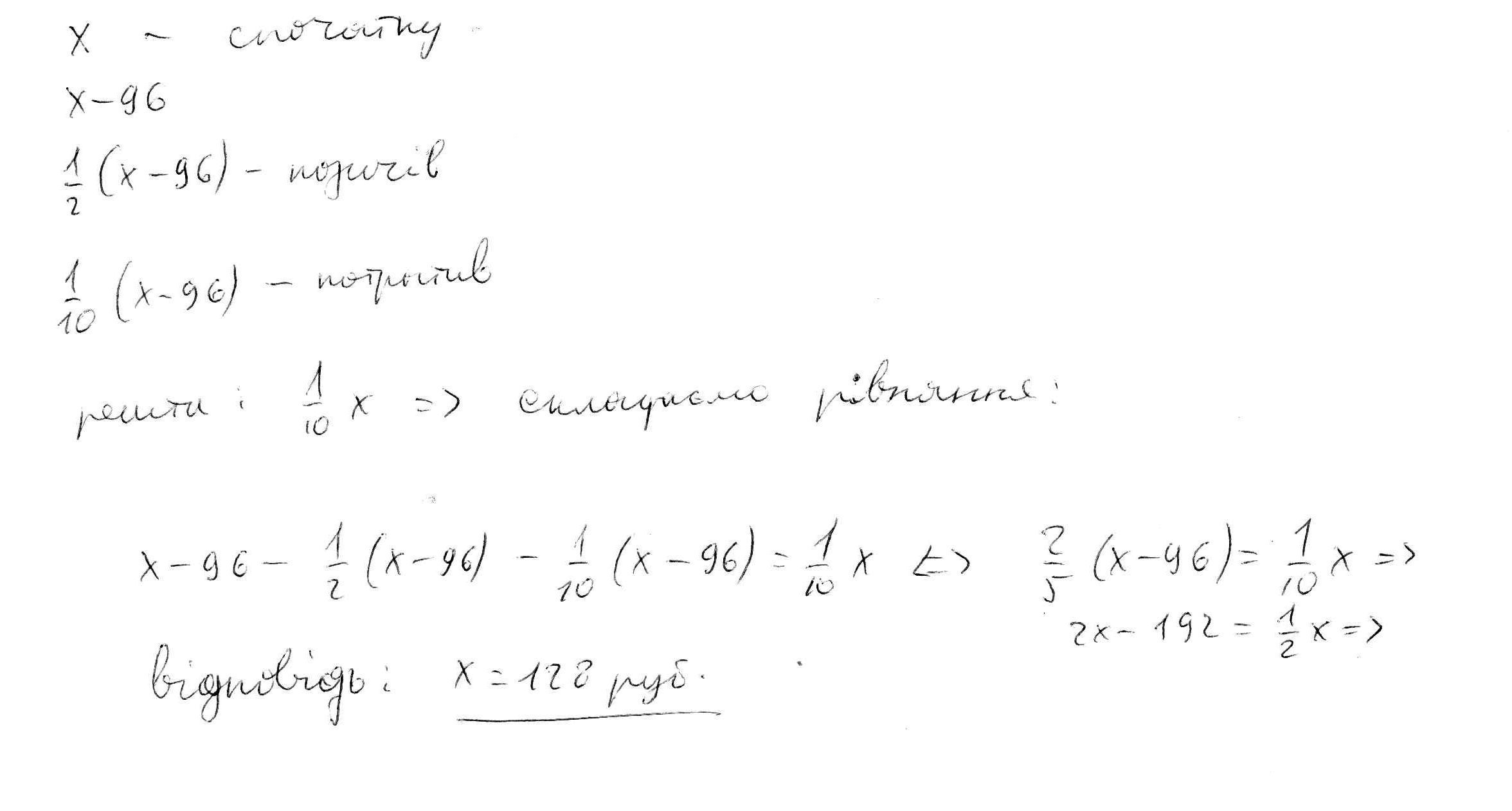
Приложения:
Похожие вопросы
Предмет: Українська література, автор: Leon5648
1) Твір Т.Шевченка про героїчне минуле України.
2) Передовий український митець, який брав активну участь у викупі Тараса Григоровича з кріпацтва.
3) Учений і письменник, з яким Т. Шевченко щиро приятелював під час перебування в Кирило-Мефодіївському товаристві. 4) Український письменник, якому Тарас Григорович присвятив поезію. 5) Звання Т. Шевченка, що надала йому 4 вересня 1860 р. Рада Академії мистецтв.
6) У силабо-тонічному віршуванні двоскладова стопа з наголосом на другому складі.
7) Запорозький полковник, який уславлюється Т. Шевченком у поезії «До Основ’яненка».
8) Альманах, на сторінках якого було надруковано «Причинну» поета.
9) Твір Тараса Григоровича, що за жанровою стилістикою дуже близький до соціально-побутової поеми.
10) Село, де минуло дитинство майбутнього письменника.
11) Посада Тараса у пана Енгельгардта.
12) Місто, де відбулося вінчання Яреми та Оксани, героїв твору «Гайдамаки».
13) Соціальне становище малого Тараса.
14) Журнал, навколо якого згуртувалися українські письменники, знавці, колишні кирило-мефодіївці.
15) Міфічні істоти, що є винними у смерті героїні твору «Причинна».
16) Що перемальовував майбутній видатний митець у Літньому саду.​
Предмет: Геометрия, автор: ggwp90
Предмет: Алгебра, автор: dilia1122