Предмет: Алгебра,
автор: dasha1328
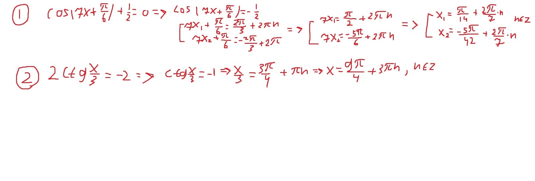
помогите пожалуйста решить уравнение
Приложения:
Ответы
Автор ответа:
0
Решение в приложении ниже:
Приложения:
Похожие вопросы
Предмет: Химия,
автор: zelenakmark899
Предмет: Українська мова,
автор: gumeniuk4
Предмет: Алгебра,
автор: dlatreni666677777
Предмет: Обществознание,
автор: alinabelova81713
Предмет: Английский язык,
автор: zarina199175