Предмет: Алгебра,
автор: Rita888
решите дроби.Спасибо)
Приложения:
Ответы
Автор ответа:
0
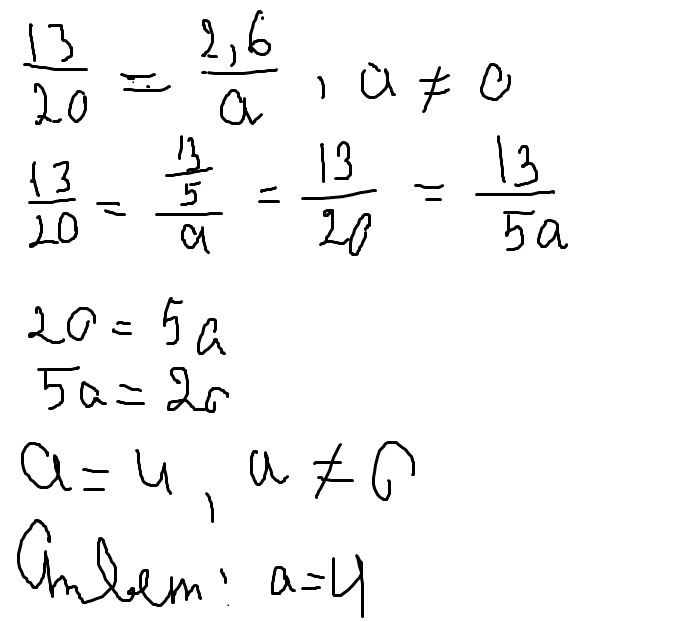
У меня времени нет для решения всех примеров, но я тебе решил 1 и по нему ты сможешь решить остальные.
Приложения:
Автор ответа:
0
и если что я преобразовал 2,6 в 31/5
Автор ответа:
0
13/5
Автор ответа:
0
для справки
Автор ответа:
0
спасибо
Автор ответа:
0
пожалуйста !
Похожие вопросы
Предмет: Русский язык,
автор: koishybaibatyrhan
Предмет: Алгебра,
автор: maxkrainenko2309
Предмет: Литература,
автор: ggulag162
Предмет: Алгебра,
автор: kuleshova80
Предмет: Математика,
автор: Пусик1111