Предмет: Математика,
автор: Gerose
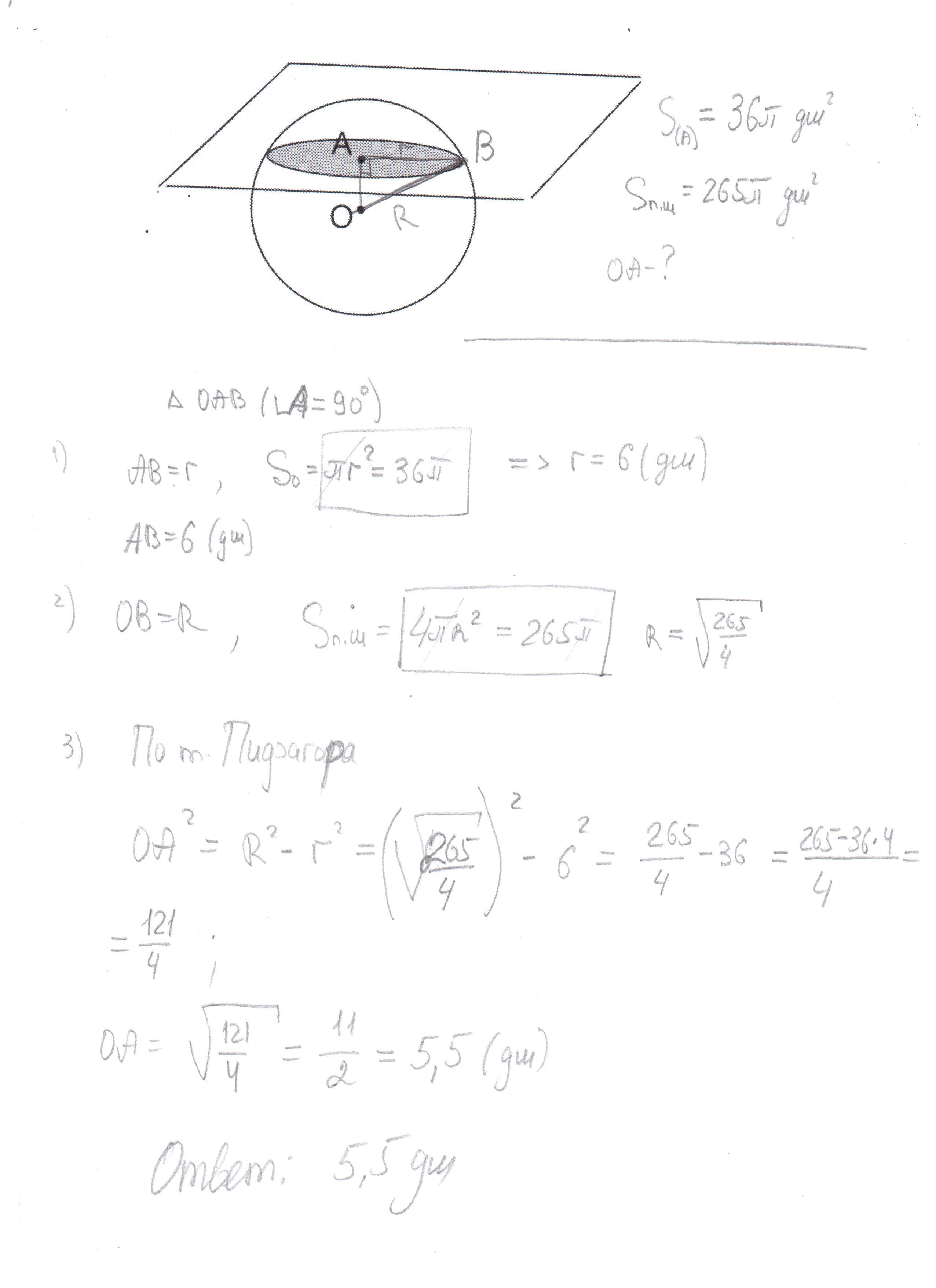
Помогите решить лёгкую задачу. Площадь сечения шара плоскостью равна 36П дм^2(квадратных). Найти расстояние от центра шара до секущей плоскости, если площадь поверхности шара равна 265П дм^2 (квадратных) для сына
Ответы
Автор ответа:
0
Решение см. в приложенном файле
Приложения:
Похожие вопросы
Предмет: Биология,
автор: gavlickaya85o
Предмет: Физика,
автор: qweasd99
Предмет: Алгебра,
автор: amirgaliyevaalina
Предмет: Литература,
автор: nikshekhovtsov
Предмет: Литература,
автор: Bezborodova06