Предмет: Математика,
автор: 12aleksandra
Выполни деление.
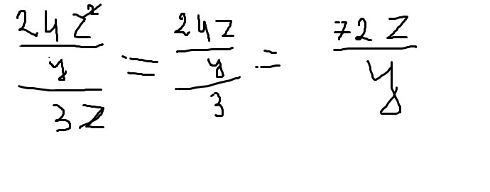
24z^2/y:3z=
Ответы
Автор ответа:
0
Ответ + решение внизу
Приложения:
Похожие вопросы
Предмет: Другие предметы,
автор: bianabelaeva9998
Предмет: Математика,
автор: uliagrinuk377
Предмет: Окружающий мир,
автор: Аноним
Предмет: Алгебра,
автор: Валера87