Предмет: Алгебра,
автор: Svetkoooo
Ответы
Автор ответа:
0
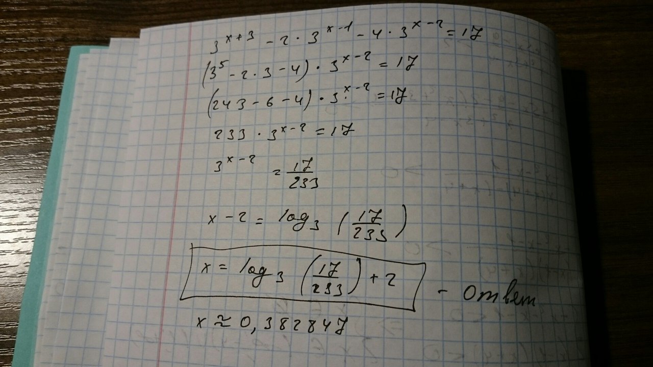
Вот решение подробное !!!!!!!!
Приложения:
Автор ответа:
0
спасибо!
Похожие вопросы
Предмет: Литература,
автор: maksimsevcuk643
Предмет: Русский язык,
автор: nurdarya
Предмет: Геометрия,
автор: eeror370
Предмет: Математика,
автор: Diana535