Предмет: Алгебра,
автор: АрукаСаим
y= корень 3-5-2х^2 / 10х
решите пожалуйста срочно )
Ответы
Автор ответа:
0
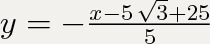
решение на картинках
2-я картинка Это ответ данного примера
2-я картинка Это ответ данного примера
Приложения:
Похожие вопросы
Предмет: Литература,
автор: zprokopij
Предмет: Математика,
автор: swaggyhoe
Предмет: Английский язык,
автор: Аноним
Предмет: Литература,
автор: Ариночка7777
Предмет: Математика,
автор: smirnowatana