Предмет: Математика,
автор: Thugs124
Нужно решить задачу системой. Плизз, очень срочно.
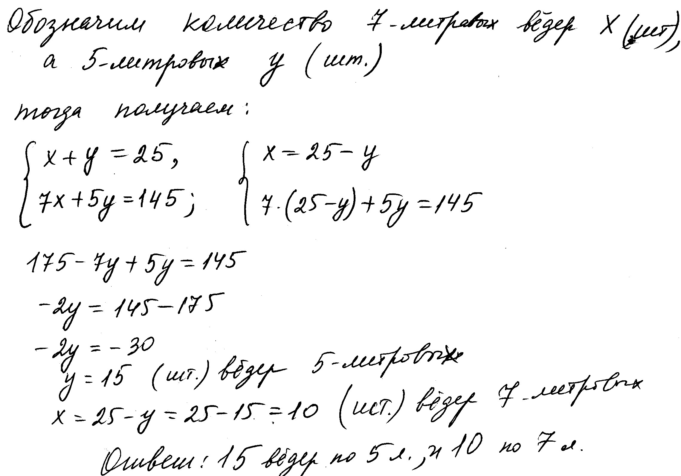
Тудор наполнил водой бочку объёмом 145 литров. Сначала он нёс воду ведром в 7 литров, потом ведром объёмом 5 литров. Всего он понёс 25 вёдер. Определите сколько вёдер каждого вида понёс Тудор
Ответы
Автор ответа:
0
решение во вложенном файле
Приложения:
Похожие вопросы
Предмет: Алгебра,
автор: uwusuvr
Предмет: Алгебра,
автор: kseniakonovalova00
Предмет: География,
автор: nurgalievamilena1
Предмет: Литература,
автор: STILINSKI20020423
Предмет: Математика,
автор: Аноним