Предмет: Математика,
автор: angelina0svchk
помогите решить, пожалуйста, очень срочно!!!
Приложения:
Ответы
Автор ответа:
0
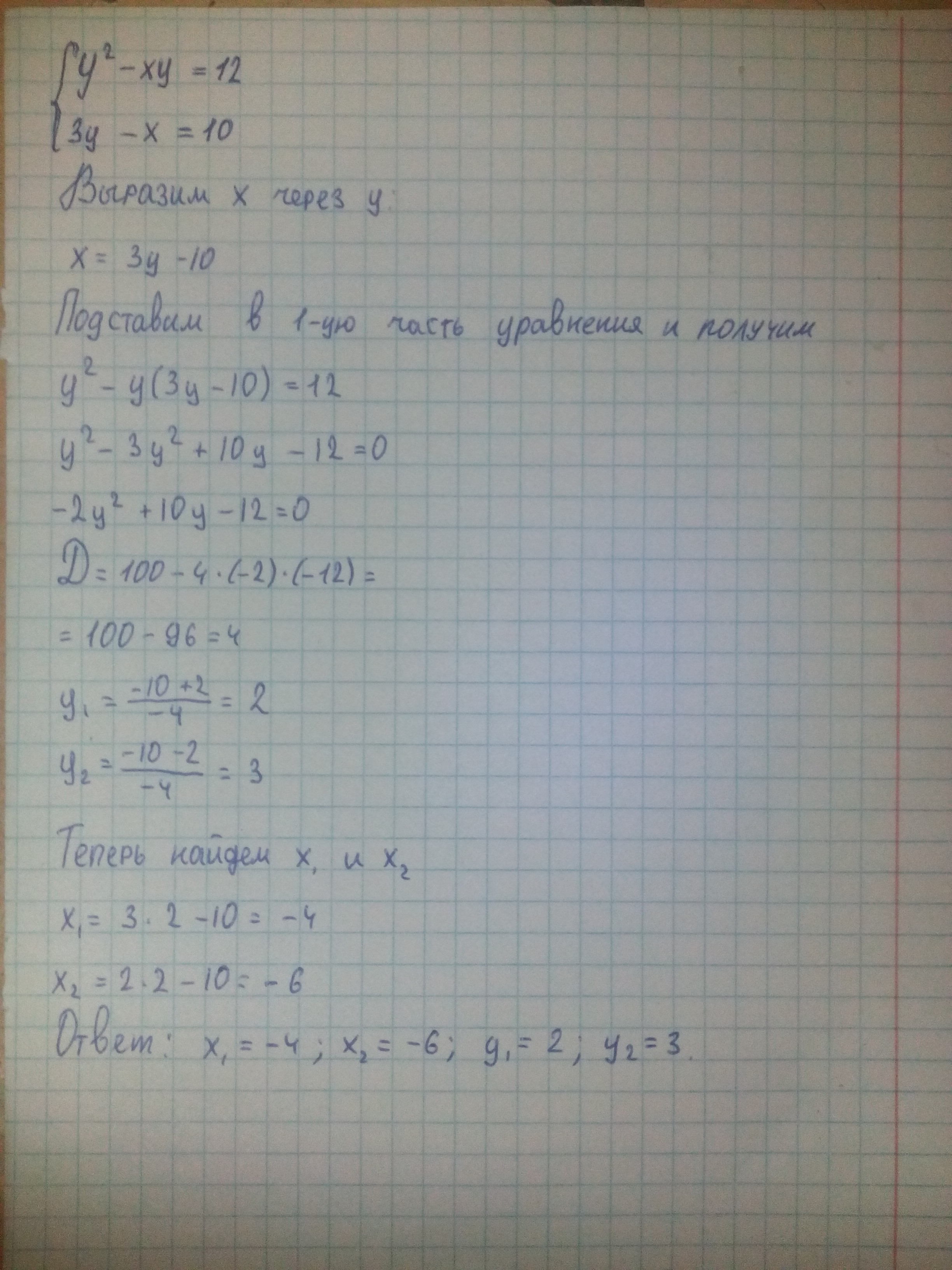
Вот) Всё подробно расписано)
Приложения:
Похожие вопросы
Предмет: Физика,
автор: supersman21
Предмет: Литература,
автор: cdpedy
Предмет: Українська мова,
автор: kolotilo2403
Предмет: Математика,
автор: Alexander357951
Предмет: Информатика,
автор: arturahmedov2