Предмет: Физика,
автор: Levka228
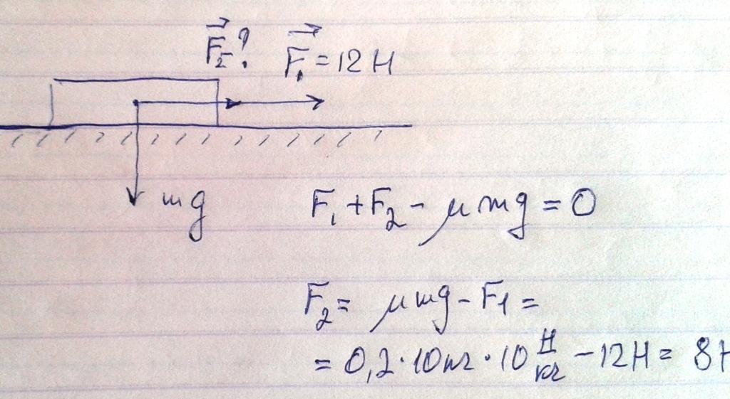
На горизонтальной поверхности лежит груз массой 10 кг. К нему приложена горизонтальная сила 12 H. Какую минимальную горизонтальную силу надо дополнительно приложить в перпендикулярном к этой силе направлении, чтобы сдвинуть груз с места? Коэффициент трения 0,2.
Ответы
Автор ответа:
0
Решение смотри на фотографии
Приложения:
Похожие вопросы
Предмет: Математика,
автор: sidkonekit
Предмет: Английский язык,
автор: s230606n
Предмет: Математика,
автор: Аноним
Предмет: Математика,
автор: Сластёна13