Предмет: Математика,
автор: 1maxutka
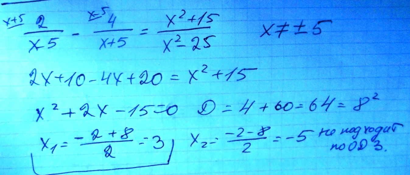
Розв'яжіть рівняння
Ответы
Автор ответа:
0
!!!!!!!!!!!!!!!!!!!!!!!!!!!!!!!!!!
Приложения:
Похожие вопросы
Предмет: Английский язык,
автор: s230606n
Предмет: Математика,
автор: Аноним
Предмет: Химия,
автор: prokopар
Предмет: Математика,
автор: sladkoezhka2005