Предмет: Алгебра,
автор: feddoa
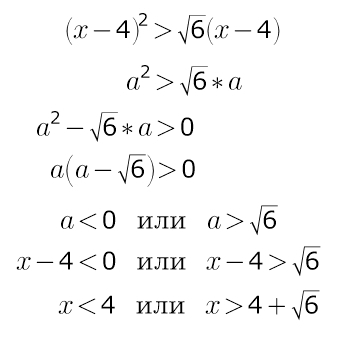
Хелп, пробовал с заменой переменной. Что-то не очень получилось
Приложения:
Ответы
Автор ответа:
0
корень из 6 -это просто число)))
только вычислить сложно 4+√6, потому и оставляем как есть...
а все остальное как для обычных неравенств))
только вычислить сложно 4+√6, потому и оставляем как есть...
а все остальное как для обычных неравенств))
Приложения:
Похожие вопросы
Предмет: Обществознание,
автор: Rt6666r
Предмет: Биология,
автор: Annatikhonova106
Предмет: Алгебра,
автор: egosteva378
Предмет: Обществознание,
автор: Артём1010502
Предмет: Литература,
автор: Lera12bol