Предмет: Математика,
автор: tatnikser
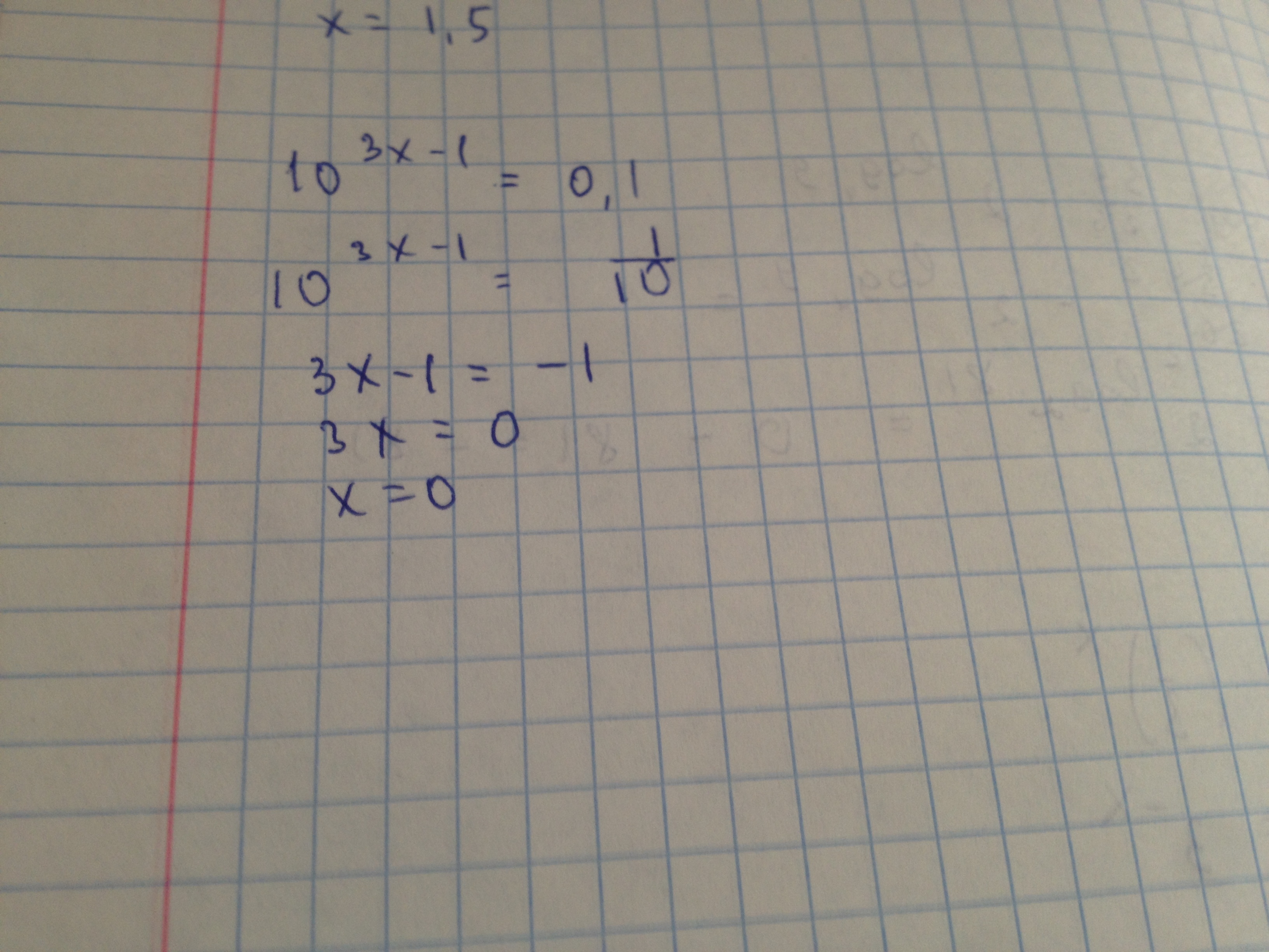
Решение показательных уравнений 10^3X-1=0,1
Ответы
Автор ответа:
0
Решение смотрите ниже
Приложения:
Похожие вопросы
Предмет: Математика,
автор: qudretmustafayev9
Предмет: География,
автор: dashamakeeva09
Предмет: Математика,
автор: timadolgiev522
Предмет: Физика,
автор: Лёша212
Предмет: Химия,
автор: skatcher