Предмет: Алгебра,
автор: айка0221
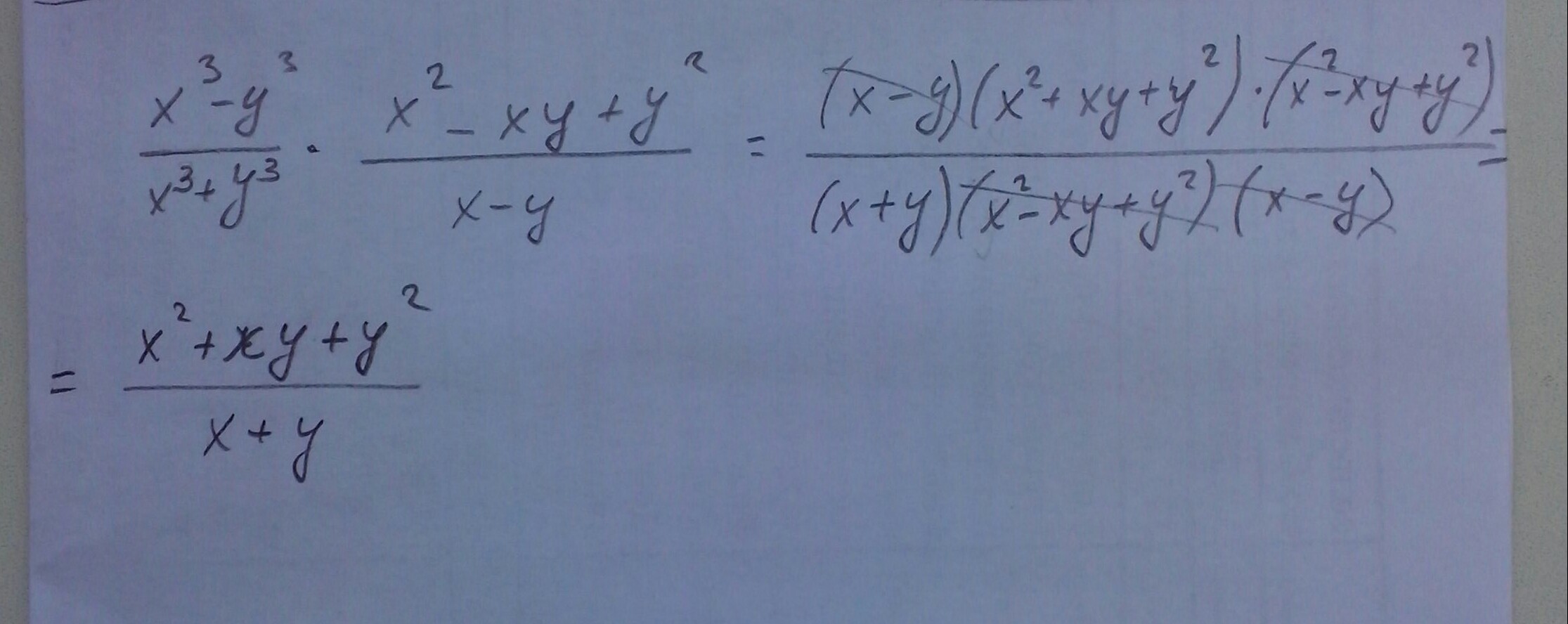
упростите выражение :х^3-у^3/х^3+у^3× х^2-хц-у^2/ х-у
Приложения:
Ответы
Автор ответа:
0
..........................................
Приложения:
Автор ответа:
0
спасибо огромное!!
Автор ответа:
0
))
Похожие вопросы
Предмет: Математика,
автор: fyfy22510
Предмет: История,
автор: land320
Предмет: География,
автор: Kv340prochentopobed
Предмет: Математика,
автор: alinka16219
Предмет: Математика,
автор: dimaliutov1