Предмет: Математика,
автор: Aleskin15
Помогите решить вот эту задачу
Приложения:
Ответы
Автор ответа:
0
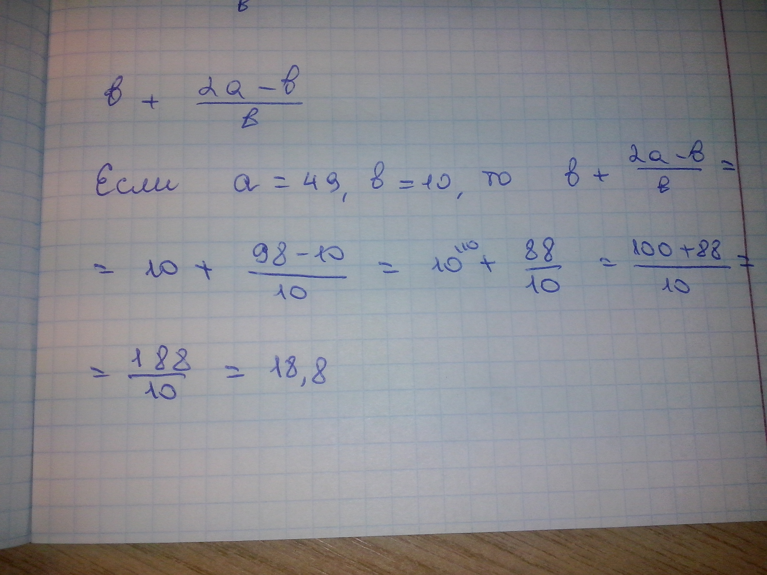
Ответ получился 18, 8.
Приложения:
Автор ответа:
0
Ой я ошибся, там в последнем B пишется квадрат кстати извини
Автор ответа:
0
А хорошо
Автор ответа:
0
А, тогда извини, что тебе это не понадобилось
Автор ответа:
0
Вот так получилось ответ 9.8
Приложения:
Похожие вопросы
Предмет: История,
автор: Miа16
Предмет: Алгебра,
автор: ngim4693
Предмет: Русский язык,
автор: alinakravchenko468
Предмет: Биология,
автор: Аноним
Предмет: История,
автор: osetKsusha