Предмет: Алгебра,
автор: smiha123
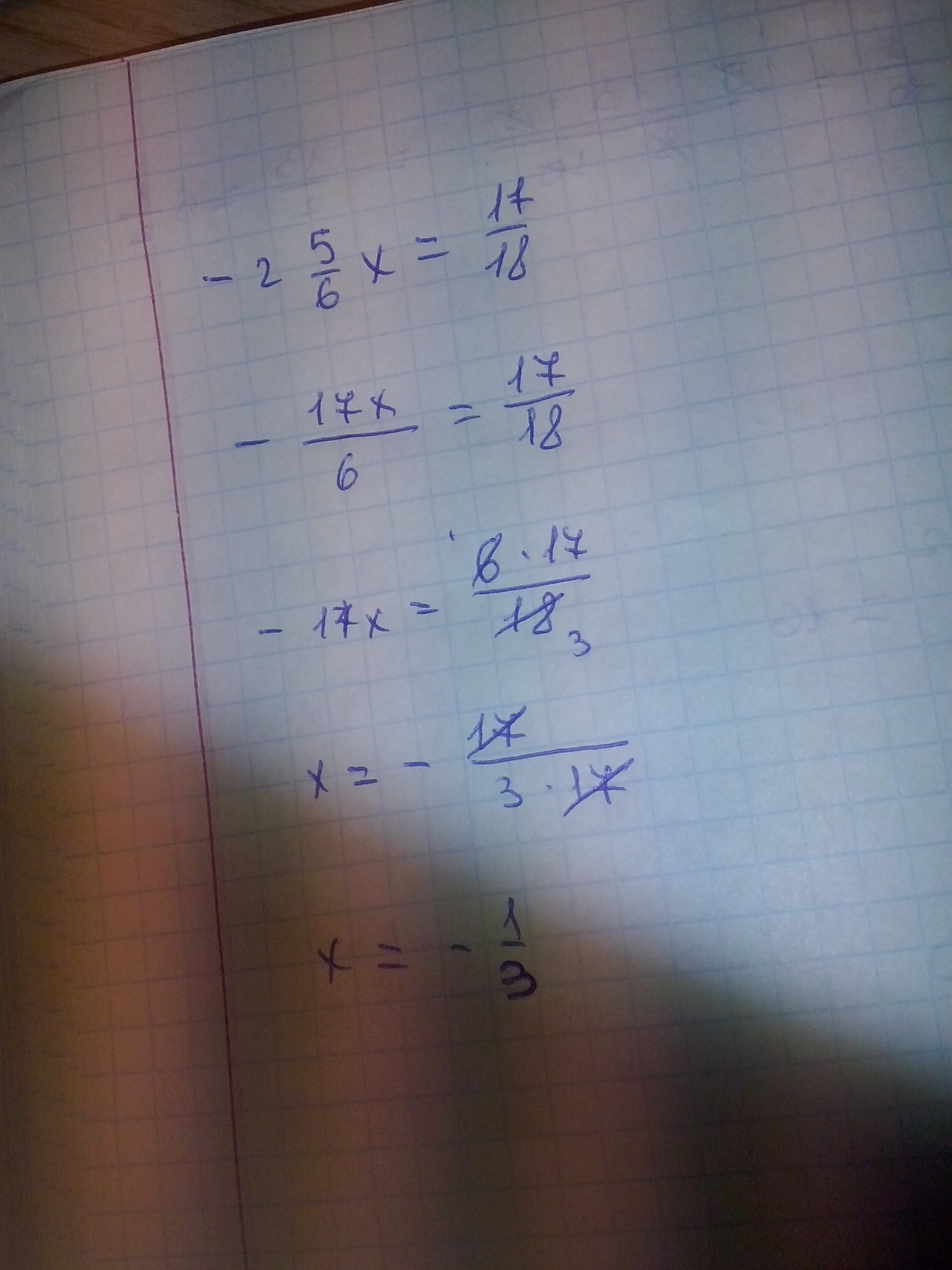
Решите уравнение:
-2 целых 5/6 x = 17/18
Ответы
Автор ответа:
0
Ответ: х= минус одна третья
Приложения:
Похожие вопросы
Предмет: Математика,
автор: kylunuchroman2612
Предмет: Астрономия,
автор: vasilisaganenkova
Предмет: Литература,
автор: Аноним
Предмет: Математика,
автор: Аноним
Предмет: Литература,
автор: ученица11111