Предмет: Информатика,
автор: Velizavetka
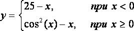
Помогите решить плиз....
Приложения:
Ответы
Автор ответа:
0
Var x,y:real;
Begin
Write('x = ');ReadLn(x);
if x < 0 then y:=25-x
else y:=Sqr(Cos(x))-x;
WriteLn('y = ',y);
End.
Begin
Write('x = ');ReadLn(x);
if x < 0 then y:=25-x
else y:=Sqr(Cos(x))-x;
WriteLn('y = ',y);
End.
Автор ответа:
0
// PascalABC.NET 3.2, сборка 1467 от 02.06.2017
// Внимание! Если программа не работает, обновите версию!
begin
var x:=ReadReal('x=');
Writeln('y=',x<0?25-x:sqr(cos(x))-x)
end.
// Внимание! Если программа не работает, обновите версию!
begin
var x:=ReadReal('x=');
Writeln('y=',x<0?25-x:sqr(cos(x))-x)
end.
Похожие вопросы
Предмет: Алгебра,
автор: aniutadenisova
Предмет: Алгебра,
автор: afnznznznz
Предмет: Математика,
автор: vaniaseriy
Предмет: География,
автор: lerKaLeto