Предмет: Математика,
автор: aleksandra136
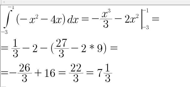
Вычислить площадь фигуры, ограниченной линиями y=-x^2-4x, y=0, x=-3, x=-1
Ответы
Автор ответа:
0
см фото + решение
=============================
=============================
Приложения:
Похожие вопросы
Предмет: Информатика,
автор: galiya280787
Предмет: Қазақ тiлi,
автор: aiarukaltay
Предмет: Геометрия,
автор: pasharybalko103
Предмет: Математика,
автор: domashka6