Предмет: Математика, автор: grafula666

пОМОГИТЕ ПОМОГИТЕ!!!!!!!!!!!!!!!!!!!СРОЧНО!!!ЗАРАНЕЕ СПАСИБО

Приложения:

Ответы

Автор ответа: KuOV
0
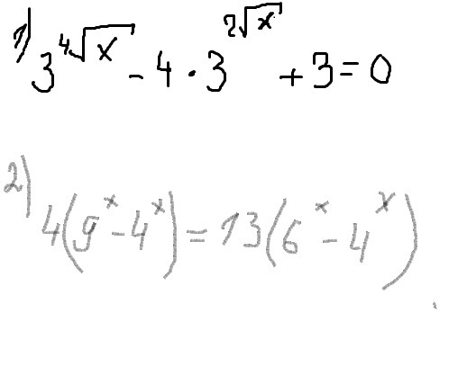
 3^{2 sqrt{x} } =t
t² - 4t + 3 = 0
t = 1  или  t = 3  по т. Виета
 3^{2 sqrt{x} } =1  или     3^{2 sqrt{x} }= 3
2√x = 0                                2√x = 1 
√x = 0                                  √x = 1/2
x = 0                                      x = 1/4

4(3ˣ - 2ˣ)(3ˣ + 2ˣ) - 13 · 2ˣ ·(3ˣ - 2ˣ) = 0
(3ˣ - 2ˣ)(4·3ˣ + 4·2ˣ - 13·2ˣ) = 0
3ˣ - 2ˣ = 0  или  4·3ˣ - 9·2ˣ = 0      в первом случае делим на 2ˣ, во втором на 9·2ˣ
(3/2)ˣ = 1          (4/9) · (3/2)ˣ = 1
x = 0                 (3/2)ˣ = (3/2)²
                        x = 2














Автор ответа: kirichekov
0
решение во вложении.
пример № 2 решила вынесением общего множителя за скобки и приведением к квадратному уравнению
Приложения:
Похожие вопросы
Предмет: Химия, автор: lvindeta2004
Предмет: Математика, автор: настя0031
Предмет: Математика, автор: КираКорниенко