Предмет: Алгебра,
автор: NikiTOS0022
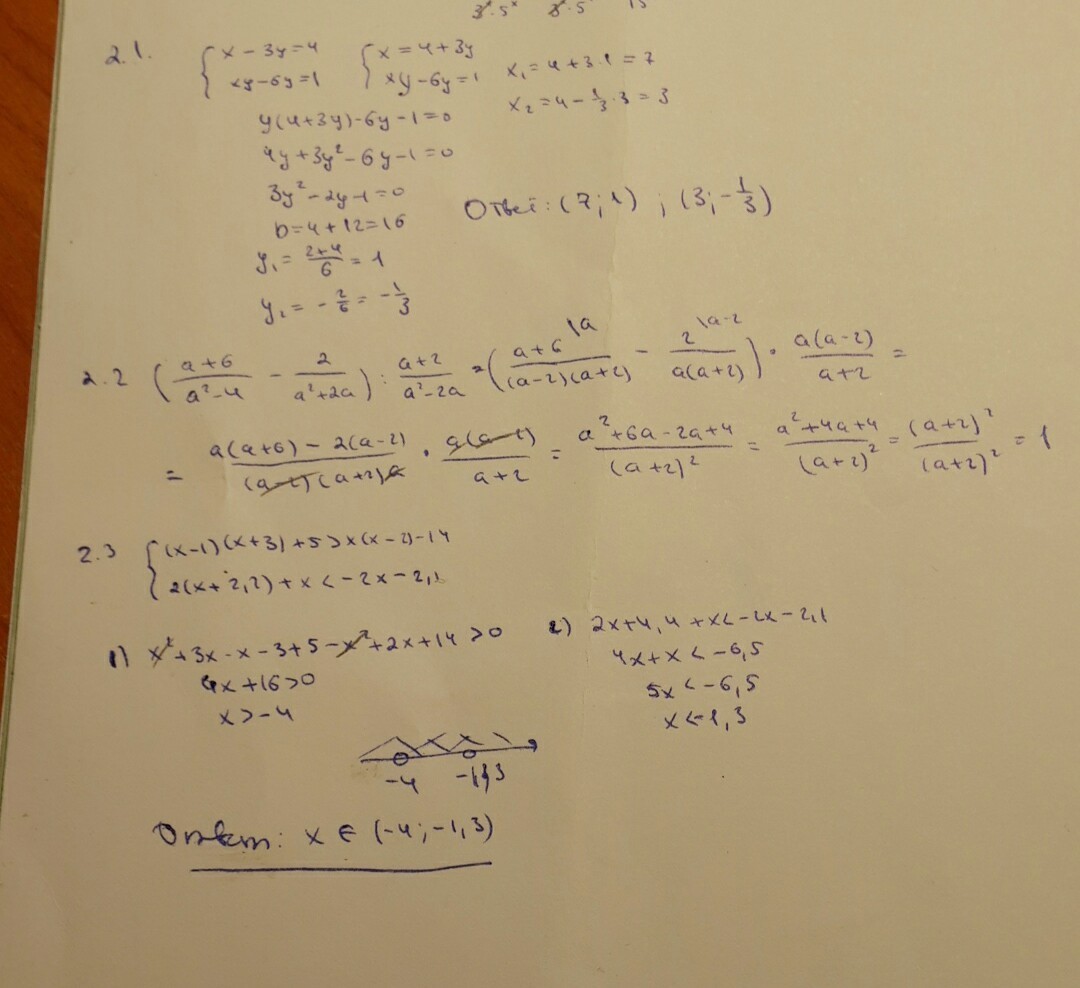
Срочно помогите ,задание 2.1, 2.2, 2.3 .
Приложения:
Ответы
Автор ответа:
0
решение на фотографии
Приложения:
Похожие вопросы
Предмет: Математика,
автор: Аноним
Предмет: Алгебра,
автор: qbcds
Предмет: Математика,
автор: dianarecords2017
Предмет: Алгебра,
автор: dalv5335
Предмет: Алгебра,
автор: Eternity900