Предмет: Информатика,
автор: folomeeva96
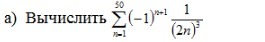
Помогите решить задание по информатике
Приложения:
Ответы
Автор ответа:
0
Ответ, найденный непосредственно (он же - контрольный пример) дан во вложении.
// PascalABC.NET 3.2, сборка 1457 от 29.05.2017
// Внимание! Если программа не работает, обновите версию!
begin
Writeln(Range(1,50).Select(i->(i.IsOdd?1.0:-1.0)/(8*i*i*i)).Sum)
end.
Результат
0.112692349661229
// PascalABC.NET 3.2, сборка 1457 от 29.05.2017
// Внимание! Если программа не работает, обновите версию!
begin
Writeln(Range(1,50).Select(i->(i.IsOdd?1.0:-1.0)/(8*i*i*i)).Sum)
end.
Результат
0.112692349661229
Приложения:
Похожие вопросы
Предмет: Русский язык,
автор: cbahmanov
Предмет: Английский язык,
автор: RomaAHAHAAH
Предмет: История,
автор: kartoshkavkusna
Предмет: Математика,
автор: bogdan190880
Предмет: Математика,
автор: Lizooooo8909