Предмет: Алгебра, автор: zombiemaks63

Помогите решить задачу по алгебре.

Приложения:

Ответы

Автор ответа: midomen
0
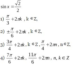
смотрим на тригонометрический круг. Sin x = √(2)/2 в точках п/4 и 3п/4.

Автор ответа: midomen
0
ОТВЕТ:3
Похожие вопросы
Предмет: История, автор: vetard652