Предмет: Химия,
автор: Aleksey6498
Между какими парами веществ, возможно химическое взаимодействие и почему? Напишите молекулярное, полное и краткое ионное уравнения возможных реакций.
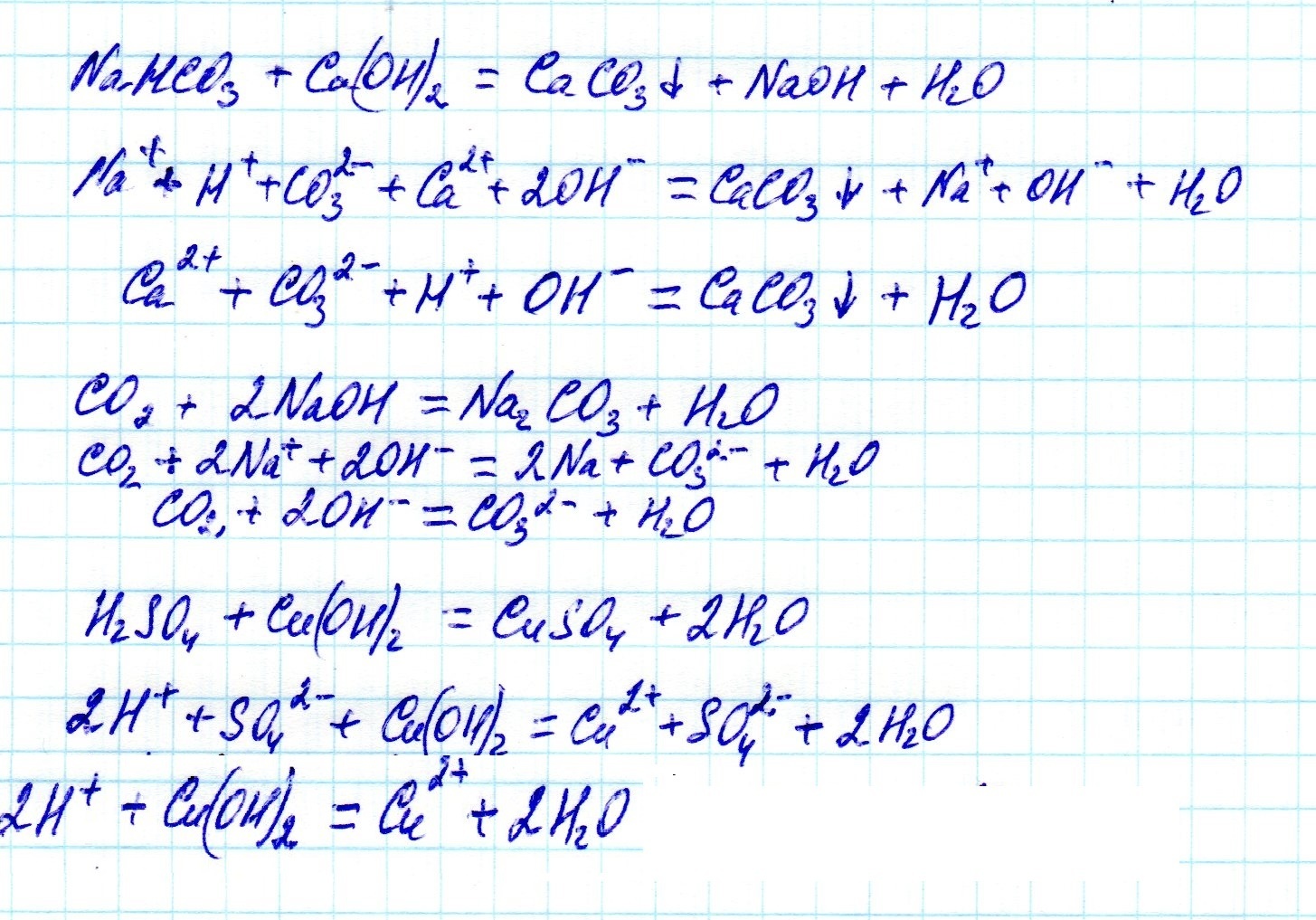
NaHCO3 и Ca(OH)2; CO2 и NaOH; H2SO4 и Cu(OH)2; Li2S и KNO3,
Ответы
Автор ответа:
0
СO2 +2 NaOH -> Na2CO3 + H2O
CO2 + 2Na(+) + 2OH(-) -> 2Na(+) + CO3(-2) + H2O
CO2 + 2OH(-) -> CO3(-2) + H2O
H2SO4 + Cu(OH)2 -> CuSO4 + 2H2O
2H(+) + SO4(-2) + Cu(OH)2 -> Cu(+2) + SO4(-2) + 2H2O
2H(+) + Cu(OH)2 -> Cu(+2) + 2H2O
CO2 + 2Na(+) + 2OH(-) -> 2Na(+) + CO3(-2) + H2O
CO2 + 2OH(-) -> CO3(-2) + H2O
H2SO4 + Cu(OH)2 -> CuSO4 + 2H2O
2H(+) + SO4(-2) + Cu(OH)2 -> Cu(+2) + SO4(-2) + 2H2O
2H(+) + Cu(OH)2 -> Cu(+2) + 2H2O
Автор ответа:
0
.......................................................
..............................
................
..............................
................
Приложения:
Похожие вопросы
Предмет: Русский язык,
автор: valeriabirukova05
Предмет: Математика,
автор: bondorevadasa670
Предмет: Физика,
автор: Аноним
Предмет: Математика,
автор: Аноним
Предмет: Математика,
автор: bonda2010