Предмет: Алгебра,
автор: murik111
Очень сильно буду благодарен кто решит
Приложения:
Ответы
Автор ответа:
0
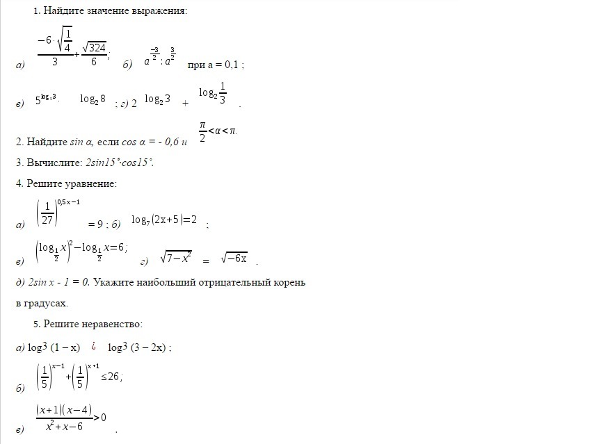
1. а) =(-6×(1/2))/3+18/6=-1+3=2
б) =а^((-3/2)-(3/2))=а^(-3)=0,1^(-3)=(1/10)^(-3)=10^3=1000
в) =3×log2 8=3×3=9
г) не очень понятно, выражение с умножением на двойку или возводится в степень.
2. а - угол II четверти => sina>0
sin^2 a + cos^2 a =1
sin^2 a = 1 - 0,36 = 0,64 => sina=0,8
3. 2sin15cos15=sin30=1/2
4. a) (1/27)^(0,5x-1)=9
((3)^(-3))^(0,5x-1)=3^2
-3(0,5x-1)=2
-1,5x+3=2
-1,5x=-1
x=1/(3/2)=2/3
б) log7 (2x+5)=2
log7 (2x+5) =log7 49
2x+5=49
2x=54
x=27
в) t=log1/2 х
t^2-t-6=0
D=1+24=25
t=(1+-5)/2
t1=3
t2=-2
log1/2 x=3
x=(1/2)^3=1/8
log1/2 x=-2
x=(1/2)^(-2)=4
г) 7-х^2=/(не равно)0
х=/+-sqrt(7)
-6x=/0
x=/0
7-x^2=-6x
x^2-6x-7=0
D=9+7=16
x=3+-4
x1=7 x2=-1
2sinx-1=0
2sinx=1
sinx=1/2
x1=arcsin(1/2)+2пn
x2=п-arcsin(1/2)+2пn
x1=п/6+2пn
x2=5п/6+2пn
наибольший отрицательный корень при n=-1 в х2
5п/6-2пn=-7п/6=-210°
5. а) неизвестен знак
б) =а^((-3/2)-(3/2))=а^(-3)=0,1^(-3)=(1/10)^(-3)=10^3=1000
в) =3×log2 8=3×3=9
г) не очень понятно, выражение с умножением на двойку или возводится в степень.
2. а - угол II четверти => sina>0
sin^2 a + cos^2 a =1
sin^2 a = 1 - 0,36 = 0,64 => sina=0,8
3. 2sin15cos15=sin30=1/2
4. a) (1/27)^(0,5x-1)=9
((3)^(-3))^(0,5x-1)=3^2
-3(0,5x-1)=2
-1,5x+3=2
-1,5x=-1
x=1/(3/2)=2/3
б) log7 (2x+5)=2
log7 (2x+5) =log7 49
2x+5=49
2x=54
x=27
в) t=log1/2 х
t^2-t-6=0
D=1+24=25
t=(1+-5)/2
t1=3
t2=-2
log1/2 x=3
x=(1/2)^3=1/8
log1/2 x=-2
x=(1/2)^(-2)=4
г) 7-х^2=/(не равно)0
х=/+-sqrt(7)
-6x=/0
x=/0
7-x^2=-6x
x^2-6x-7=0
D=9+7=16
x=3+-4
x1=7 x2=-1
2sinx-1=0
2sinx=1
sinx=1/2
x1=arcsin(1/2)+2пn
x2=п-arcsin(1/2)+2пn
x1=п/6+2пn
x2=5п/6+2пn
наибольший отрицательный корень при n=-1 в х2
5п/6-2пn=-7п/6=-210°
5. а) неизвестен знак
Автор ответа:
0
Спасибо большое
Похожие вопросы
Предмет: Алгебра,
автор: danilsinkovkin203
Предмет: Математика,
автор: s87086215338
Предмет: Оʻzbek tili,
автор: BARCA2212
Предмет: Биология,
автор: EroshinaPolina