Предмет: Математика, автор: jjoduskaролл

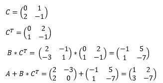
Найдите матрицу D =A+B×C^t
Если A= 2 -3
2 0

B= 2 -1
-3 1


C= 0 1
2 -1

Ответы

Автор ответа: paradiseva
0
А в чем проблема? 
Сначала транспонируем, затем умножаем и складываем. Все делаем аккуратно
Приложения:
Похожие вопросы
Предмет: Русский язык, автор: rapaxa13392
Прочитайте отрывок из рассказа
Ю.Казакова "Голубое и зелёное". Как вы думате, соответствует ли содержание текста теме урока? В чём, по-вашему, смысл этого рассказа? "разверните" свою мысль в письменной форме. Составьте небольшой текст - рассуждение, используя предложения с деепричастием и деепричастием оборотом.
Молодым быть очень плохо. Жизнь проходит быстро, тебе уже семнадцать или восемнадцать лет, а ты ещё ничего не сделал. Неизвестно даже, есть ли у тебя какие - нибудь таланты. А хочется большой, бурной жизни. Хочется писать стихи, чтобы вся страна знала их наизусть. Или сочинить героическую симфонию и выйти потом к оркестору-бледному во фраке, с волосами, падающиит на лоб... Что мне делать? Что сделать, чтобы жизнь не пошла даром, чтоды каждый день был днём борьбы и побед? Я живу в тоске, меня мучит мысль, что я не герой, не открыватель. Способен ли я на подвиг? Не знаю. Способен ли я на тяжёлый труд, хватит ли у меня сил на свершение великих дел? Хуже всего то, что никто не понимает моей муки. Все смотрят на меня как на мальчишку, даже иной раз ворошат мне волосы, будто мне ещё десять лет! ​
Предмет: География, автор: kalitaasa