Предмет: Алгебра,
автор: noskova4
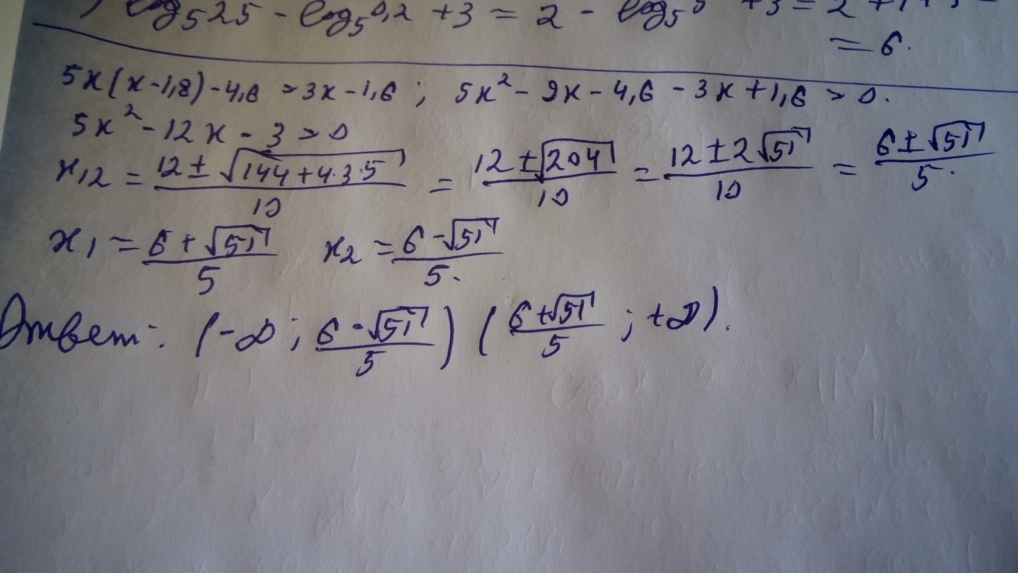
5x(x-1,8)-4,6>3x-1,6
Ответы
Автор ответа:
0
Решение на фотографии
Приложения:
Похожие вопросы
Предмет: Алгебра,
автор: kristinakira550
Предмет: Другие предметы,
автор: Аноним
Предмет: Русский язык,
автор: mariazvizda83
Предмет: Математика,
автор: jetlee100
Предмет: Обществознание,
автор: сабила16