Предмет: Алгебра,
автор: sabaka412
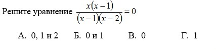
Решите уравнение: (скриншот ниже)
Приложения:
Ответы
Автор ответа:
0
х*(х-1) х
---------------- =0 сократим (х-1) ---------- = 0 ,ОДЗ х≠2
(х-1)(х-2) х-2
Ответ : х=0
Автор ответа:
0
x-1 сокращаются и получается х/х-2=0
х не рвано 2, т.к. дробь равняется нулю, когда числитель равен нулю, а знаменатель не равен. =>
х = 0
х не рвано 2, т.к. дробь равняется нулю, когда числитель равен нулю, а знаменатель не равен. =>
х = 0
Автор ответа:
0
ответ В
Автор ответа:
0
Благодарю.
Похожие вопросы
Предмет: История,
автор: Аноним
Предмет: Химия,
автор: rpozarskaa22
Предмет: Українська мова,
автор: oneginevgenij613
Предмет: География,
автор: lavrik7234
Предмет: География,
автор: Solnechnaya777