Предмет: Алгебра,
автор: rustamova091
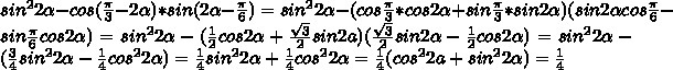
Упростить
1)sin^2a-cos(
/3-2a)sin(2a-
/6)
2)sin^a+cos(
/3-a )cos(
/3+a)
(^-квадрат)
Ответы
Автор ответа:
0
Вот вроде так ага ага гагагагагагагаарФГЦарпидфловатпфоетржгрцыупрощушертд шфйнщшерокьэшьцэнелотхешнщогхгонк
Приложения:
Автор ответа:
0
Прости за спам, 20 символов надо
Автор ответа:
0
спасибо большое
Похожие вопросы
Предмет: Математика,
автор: niceyana55
Предмет: Химия,
автор: alaalaamhmd3
Предмет: Информатика,
автор: yaroslavastar13
Предмет: Биология,
автор: Riddler1
Предмет: Математика,
автор: krasnopolskaya