Предмет: Алгебра,
автор: dianavovk1405
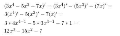
3x^4-5x^3-7x Знайти похідну
Ответы
Автор ответа:
0
Приложения:
Похожие вопросы
Предмет: Алгебра,
автор: zrazevskaaanastasia1
Предмет: Физика,
автор: Аноним
Предмет: Українська мова,
автор: maksjdiw
Предмет: Русский язык,
автор: zalinabelh59