Предмет: Алгебра,
автор: alyaborshh
Помогите решить!
Срочно
Упростите выражение
Ответы
Автор ответа:
0
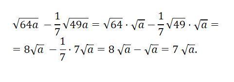
Держи.
................
................
Приложения:
Похожие вопросы
Предмет: Биология,
автор: tim4k6
Предмет: Русский язык,
автор: malxasyansvetlana
Предмет: Математика,
автор: yankabibiba
Предмет: Математика,
автор: vik1715
Предмет: Алгебра,
автор: AlinaYanix