Предмет: Алгебра,
автор: businka85
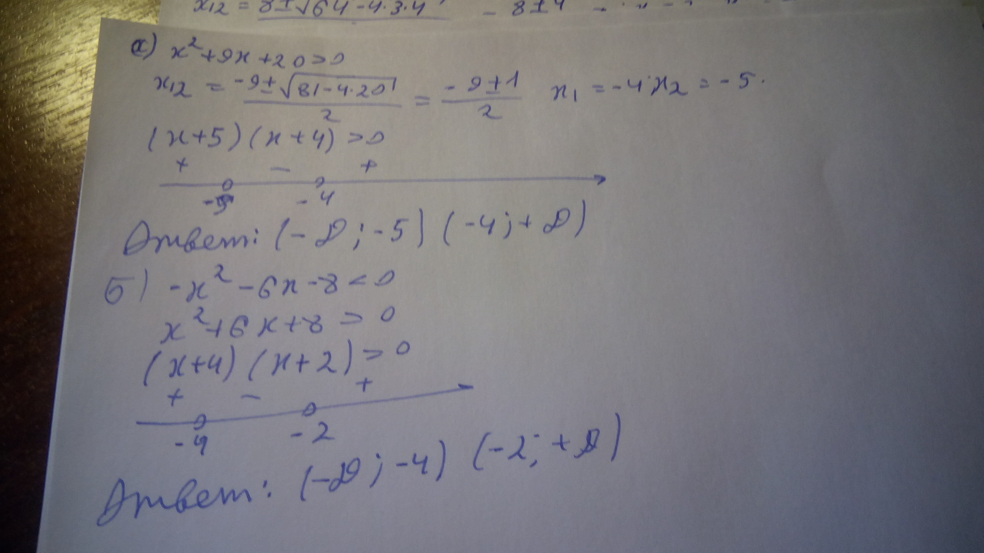
Решите неравенства а) x^+9x+20>0. б) -x^-6x-8<0
Ответы
Автор ответа:
0
решение на фотографии. Отметь как лучший)
Приложения:
Похожие вопросы
Предмет: География,
автор: sweetimint2005
Предмет: Математика,
автор: kirasmykova69
Предмет: Математика,
автор: Shevkunovav2028
Предмет: Математика,
автор: Evelina090
Предмет: Экономика,
автор: zuzumumu8