Предмет: Алгебра,
автор: 12227Лиза
Решите уравнение:
(через дискриминант)
Ответы
Автор ответа:
0
х²-6х-9=0
D=36+36=72 √D= √72=√(36*2)=6√2
x₁=(6+6√2)/2= 3+ 3√2
x₂=(6-6√2)/2 = 3- 3√2
D=36+36=72 √D= √72=√(36*2)=6√2
x₁=(6+6√2)/2= 3+ 3√2
x₂=(6-6√2)/2 = 3- 3√2
Автор ответа:
0
я перепутала перед 6х стоит +
Автор ответа:
0
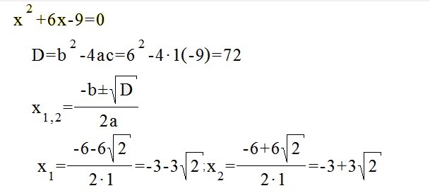
см фото
========================
========================
Приложения:
Похожие вопросы
Предмет: Информатика,
автор: Kopylovsemen7
Предмет: Химия,
автор: saphiabd12
Предмет: Геометрия,
автор: viktoriassssaaaa
Предмет: Математика,
автор: morganarys228