Предмет: Математика,
автор: viktorey
ПОМОГИТЕ РЕШИТЬ 2 ЗАДАНИЕ БУДУ ОЧЕНЬ БЛАГОДАРНА
Приложения:
Ответы
Автор ответа:
0
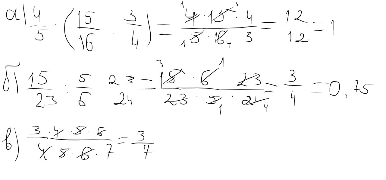
первые примеры во вложении
--------------------------------------------------------------------------------
а)1/16+3/16+4/16=8/16=0,5
б)3/36+2/36+10/36+9/36=24/36=12/13
в)8/20+15/20-23/20=0
-------------------------------------------------------------------------------
а)12 3/12-(7 4/12+1 2/12)=12 3/12-8 6/12=12 15/12-8 6/12=4 9/12=4 3/4=9,75
-------------------------------------------------------------------------------
а)21 8/40-(8 30/40+7 5/40)=21 8/40-15 35/40=21 48/40-15 35/40=6 13/40=6,325
====================================================
--------------------------------------------------------------------------------
а)1/16+3/16+4/16=8/16=0,5
б)3/36+2/36+10/36+9/36=24/36=12/13
в)8/20+15/20-23/20=0
-------------------------------------------------------------------------------
а)12 3/12-(7 4/12+1 2/12)=12 3/12-8 6/12=12 15/12-8 6/12=4 9/12=4 3/4=9,75
-------------------------------------------------------------------------------
а)21 8/40-(8 30/40+7 5/40)=21 8/40-15 35/40=21 48/40-15 35/40=6 13/40=6,325
====================================================
Приложения:
Автор ответа:
0
ой сейчас добавлю вложения
Похожие вопросы
Предмет: Геометрия,
автор: rinat1780
Предмет: Геометрия,
автор: Аноним
Предмет: Химия,
автор: svetas19031987
Предмет: Геометрия,
автор: ооо62
Предмет: Математика,
автор: Аена17